Jun
10
Nuestro lugar en el Universo…¿Cuál será?
por Emilio Silvera ~
Clasificado en General ~
Comments (0)
¿Quién nos observa? No podríamos negar que esté sucediendo
En esto de la vida en otros mundos, si nos ceñimos a las estadísticas, no podemos negar que estén ahí fuera, situados en mundos como el nuestro o parecidos, una ingente cantidad de criaturas de todo tipo y pelaje, unos con inteligencia y otros, como aquí en la Tierra, a medio camino entre la consciencia y ese limbo en el que no se tiene consciencia de Ser.

Antes en otra entrada que titulé “Observar la Naturaleza… da resultados”, comentaba sobre los grandes números de Dirac y lo que el personaje llamado Robert Henry Dicke pensaba de todo ello y, cómo dedujo que para que pudiera aparecer la biología de la vida en el Universo, había sido necesario que el Tiempo de vida de las estrellas fuese el que se necesita para poder ·fabricar” todos los elementos necesarios para la Vida, el Universo, también tiene que tener, no ya las condiciones que posee, sino también, la edad que le hemos estimado.

El telescopio espacial Hubble ha logrado capturar los remanentes de supernova que resaltan por parecer la explosión de fuegos artificiales en la Gran Nube de Magallanes, y que esconde una estrella de neutrones que es súper densa. La imagen aporta nuevos datos sobre estos objetos interesantes que esconden grandes secretos sobre la formación de las estrellas.
Filaments of the Vela Supernova Remnant
Créditos de imagen & Copyright: Angus Lau, Y Van, SS Tong (Jade Scope Observatory)
“La explosión se ha acabado pero las consecuencias siguen. Hace unos once mil años, una estrella de la constelación de Vela estalló y creó un extraño punto de luz que los humanos que vivían al principio de la historia registrada pudieron contemplar. Las capas externas de la estrella se estrellaron contra el medio interestelar e impulsaron una onda expansiva que todavía es visible hoy en día.En rayos X se ve una onda de choque en expansión más o menos esférica. La imagen muestra en luz visible algunos restos de aquella explosión gigantesca. A medida que el gas se aleja de la estrella estallada se descompone , reacciona con el medio interestelar y produce luz en diferentes colores y bandas de energía. el centro del remanente de la supernova Vela queda un púlsar , o sea, una estrella más densa que la materia nuclear que gira sobre sí misma más de diez veces por segundo.”

Remanente de Supernova
Los filamentos de un remanente de Supernova que, mirándolos y pensando de donde vienen… Te hacen recorrer unos caminos alucinantes que comenzaron con una inmensa aglomeración de gas y polvo que se constituyó en una estrella masiva que, después de vivir miles de millones de años, dejó, a su muerte, el rastro que arriba podemos contemplar.
Cuando los físicos empezaron a apreciar el papel de las constantes en el dominio cuántico y explotar la nueva teoría de la gravedad de Einstein para describir el universo en su conjunto, las circunstancias eran las adecuadas para que alguien tratara de casarlas.
Durante la década de 1.920, cuando Eddington empezó su búsqueda para explicar las constantes de la naturaleza, no se conocían bien las fuerzas débil y fuerte. Las únicas constantes dimensionales de la física que sí se conocían e interpretaban con confianza eran las que definían la gravedad y las fuerzas electromagnéticas. Eddington las dispuso en tres puros números adimensionales. Utilizando los valores experimentales de la época, tomó la razón entre las masas del protón y del electrón:
mpr/me ≈ 1840
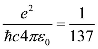
La inversa de la constante de estructura fina
2πhc/e2 ≈ 137
Y la razón entre la fuerza gravitatoria y la fuerza electromagnética entre un electrón y un protón,
e2/Gmpr me ≈ 1040
A estas Eddington añadió su número cosmológico, NEdd ≈ 1080. A estos cuatro números los llamó “las constantes últimas”, y la explicación de sus valores era el mayor desafío de la ciencia teórica:
“¿Son estas cuatro constantes irreducibles, o una unificación posterior de la física que pueda demostrar que una o todas ellas podrían ser prescindibles? ¿Podrían haber sido diferentes de lo que realmente son?… Surge la pregunta de si las razones anteriores pueden ser asignadas arbitrariamente o si son inevitables. En el primer caso, sólo podemos aprender sus valores por medida; en el segundo caso es posible encontrarlos por la teoría… Creo que ahora domina ampliamente la opinión de que las (cuatro anteriores) constantes… no son arbitrarias, sino que finalmente se les encontrará una explicación teórica; aunque también he oído expresar lo contrario.”
Medida una y mil veces, α parece que no cambia a pesar de todo
Siguiendo con su especulación Eddington pensaba que el número de constantes inexplicadas era un indicio útil del hueco que había que cerrar antes de que se descubriese una teoría verdaderamente unificada de todas las fuerzas de la naturaleza. En cuanto a si esta teoría final contenía una constante o ninguna, tendríamos que esperar y ver:
“Nuestro conocimiento actual de 4 constantes en lugar de 1 indica meramente la cantidad de unificación de teoría que aún queda por conseguir. Quizá resulte que la constante que permanezca no sea arbitraria, pero de eso no tengo conocimiento.”
Eddington, como Max Planck, Einstein y Galileo, y Newton antes que ellos, era simplemente un adelantado a su tiempo; comprendía y veía cosas que sus coetáneos no podían percibir.
Hay una anécdota que se cuenta sobre esto y que ilustra la dificultad de muchos para reconciliar el trabajo de Eddington sobre las constantes fundamentales con sus monumentales contribuciones a la relatividad general y la astrofísica. La historia la contaba Sam Goudsmit referente a él mismo y al físico holandés Kramers:
Samuel Abraham Goudsmit, George Uhlenbeck y Hendrik Kramers
“El gran Arthur Eddington dio una conferencia sobre su derivación de la constante de estructura fina a partir de una teoría fundamental. Goudsmit y Kramers estaban entre la audiencia. Goudsmit entendió poco pero reconoció que era un absurdo inverosímil. Kramers entendió mucho y reconoció que era un completo absurdo. Tras la discusión, Goudsmit se acercó a su viejo amigo y mentor Kramers y le preguntó: ¿Todos los físicos se vuelven locos cuando se hacen mayores? Tengo miedo. Kramers respondió, “No Sam, no tienes que asustarte. Un genio como Eddington quizá puede volverse loco pero un tipo como tú sólo se hace cada vez más tonto”.
El filósofo-poeta , prosista y pensador
Aquí hablamos del Universo, de las Teorías que tratan de explicarlo, de la Mente humana que no hemos llegado a comprender, y, hemos llegado a la conclusión que, como dijo aquel pensador: “No sólo de pan vive el hombre”. Necesitamos sentir y crear para alcanzar la plenitud, para dar algún sentido a nuestras vidas.
Aquí también están algunas de esas constantes
Los campos magnéticos están presentes por todo el Universo. Hasta un diminuto (no por ello menos importante) electrón crea, con su oscilación, su propio campo magnético, y, aunque pequeño, se le supone un tamaño no nulo con un radio ro, llamado el radio clásico del electrón, dado por r0 = e2/(mc2) = 2,82 x 10-13 cm, donde e y m son la carga y la masa, respectivamente del electrón y c es la velocidad de la luz.
Nuestro universo es como lo podemos observar gracias a esos números
El mayor misterio que rodea a los valores de las constantes de la naturaleza es sin duda la ubicuidad de algunos números enormes que aparecen en una variedad de consideraciones aparentemente inconexas. El número de Eddington es un ejemplo notable. El número total de protones que hay dentro del alcance del universo observable esta próximo al número
1080
Si preguntamos ahora por la razón entre las intensidades de las fuerzas electromagnéticas y gravitatoria entre dos protones, la respuesta no depende de su separación, sino que es aproximadamente igual a
1040
En un misterio. Es bastante habitual que los números puros que incluyen las constantes de la naturaleza difieran de 1 en un factor del orden de 102, ¡pero 1040, y su cuadrado 1080, es rarísimo! Y esto no es todo. Si seguimos a Max Planck y calculamos en valor estimado para la “acción” del universo observable en unidades fundamentales de Planck para la acción, obtenemos.
10120
Supernovas, Nebulosas, Estrellas… ¡Fuerzas y Constantes fundamentales!
Algunos llegan a afirmar que, el Universo es plano e indican que la “energía oscura” es probablemente la constante cosmológica de Einstein…¡Vivir para ver! El maestro llegó a decir que incluir la constante cosmológica en su ecuación había sido el mayor error de su vida y, sin embargo ahora… resulta que sí estaba en lo cierto. ¡Ya veremos!
Ya hemos visto que Eddington se inclinaba a relacionar el número de partículas del universo observable con alguna cantidad que incluyera la constante cosmológica. Esta cantidad ha tenido una historia muy tranquila desde esa época, re-emergiendo ocasionalmente cuando los cosmólogos teóricos necesitan encontrar una manera de acomodar nuevas observaciones incómodas.
Recientemente se ha repetido este escenario. Nuevas observaciones de alcance y precisión sin precedentes, posibilitadas por el telescopio espacial Hubble trabajando en cooperación con telescopios sensibles en tierra, han detectado supernovas en galaxias muy lejanas. Su pauta de brillo y atenuación característica permite deducir su distancia a partir de su brillo aparente. Y, sorprendentemente, resulta que están alejándose de nosotros mucho más rápido de lo que cualquiera esperaba. La expansión del universo ha pasado de ser un estado de deceleración a uno de aceleración. Estas observaciones implican la existencia de una constante cosmológica positiva (Λ+). Si expresamos su valor numérico como número puro adimensional medido en unidades del cuadrado de la longitud de Planck, entonces obtenemos un número muy próximo a
10-120
Nunca se ha encontrado un número más pequeño en una investigación física real. Podemos decir que es el más grande de los pequeños números.
Hablar del Universo en todo su conjunto…, no es nada fácil. Podemos hablar de parcelas, de elementos por separado y también de sucesos, objetos y de la mecánica celeste de manera individualizada para tratar de comprenderlos mejor y, más tarde, juntarlos para tener una perspectiva de su conjunto que… No siempre podemos llegar a comprender. ¡Es tanto lo que esas constantes nos quieren decir! que comprenderlas y entenderlo todo…, nos llevará algún tiempo.
¿Qué vamos a hacer con todos estos grandes números? ¿Hay algo cósmicamente significativo en 1040 y sus cuadrados y cubos?

Hermann Weyl
La aparición de algunos de estos grandes números ha sido una fuente de sorpresas desde que fue advertida por vez primera por Hermann Weyl en 1.919. Eddington había tratado de construir una teoría que hiciera comprensible su aparición, pero no logró convencer a un número significativo de cosmólogos de que estaba en la vía correcta. Pero sí convenció a la gente de que había algo que necesitaba explicación. De forma inesperada, fue precisamente uno de sus famosos vecinos de Cambridge quien escribió a la revista Nature la carta que consiguió avivar el interés por el problema con una idea que sigue siendo una posibilidad viable incluso hoy.
Paul Dirac
Paul Dirac ocupó la Cátedra Lucasiana de matemáticas en Cambridge durante parte del tiempo en que Eddington estuvo viviendo en los observatorios. Las historias que se cuentan de Paul Dirac dejan muy claro que era un tipo con un carácter peculiar, y ejercía de matemático las 24 h. del día. Se pudo saber que su inesperada incursión en los grandes números fue escrita durante su viaje de novios (Luna de miel), en febrero de 1937.
Aunque no muy convencido de las explicaciones de Eddington, escribió que era muy poco probable que números adimensionales muy grandes, que toman valores como 1040 y 1080, sean accidentes independientes y no relacionados: debe existir alguna fórmula matemática no descubierta que liga las cantidades implicadas. Deben ser consecuencias más que coincidencias.
Esta es la hipótesis de los grandes números según Dirac:
“Dos cualesquiera de los números adimensionales muy grandes que ocurren en la naturaleza están conectados por una sencilla relación matemática, en la que los coeficientes son del orden de la unidad”.
Un número adimensional, también conocido como número adimensional o magnitud adimensional, es un número que no tiene unidades físicas, y por lo tanto, es un número puro. Se define como el resultado de una relación entre dos o más cantidades físicas que sí tienen unidades, de tal forma que las unidades se cancelan, quedando solo un valor numérico.

Alfa (α) la Constante de estructura fina, el número puro y adimensional 137
El Nobel León Lederman (Director del CERN muchos años), decía:
“Todos los físicos del mundo deberían tener en el lugar más destacado de sus casas, un marco con el número 137. El motivo de tan conveniente obligación, sería recordarles, cada vez que lo vieran, lo poco que sabemos.”
Nos puede parecer mentira pero… Los verdaderos grandes números están en ¡La Mente!

Los grandes números de que se valía Dirac para formular esta atrevida hipótesis salían del trabajo de Eddington y eran tres:
N1 = (tamaño del universo observable) / (radio del electrón)
= ct (e2/mec2) ≈ 1040
N2 = Razón fuerza electromagnética-a-gravitatoria entre protón y electrón
= e2/Gme mp ≈ 1040
N = número de protones en el universo observable
= c3t/Gmp ≈ 1080
Aquí t es la edad actual del universo, me es la masa de un electrón, mp es la masa de un protón, G la constante de gravitación, c la velocidad de la luz y e la carga del electrón.
El Universo es todo lo que existe: Materia, Tiempo y Espacio inmersos en un océano de fuerzas y constantes
Según la hipótesis de Dirac, los números N1, N2y raizN eran realmente iguales salvo pequeños factores numéricos del orden de la unidad. Con esto quería decir que debe haber leyes de la naturaleza que exijan fórmulas como N1 = N2, o incluso N1 = 2N2. Un número como 2 ó 3, no terriblemente diferente de 1 está permitido porque es mucho más pequeño que los grandes números implicados en la fórmula; esto es lo que él quería decir por “coeficientes…. del orden de la unidad”.
Esta hipótesis de igualdad entre grandes números no era en sí misma original de Dirac. Eddington y otros habían escrito antes relaciones muy semejantes, pero Eddington no había distinguido entre el número de partículas del universo observable, que se define como una esfera centrada en nosotros con un radio igual a la velocidad de la luz multiplicada por la edad actual del universo, o lo que es lo mismo:
La trayectoria del llamado Universo Observable (y del cual somos su centro al recorrer su geodésica en la geometría espacio-temporal) tiene la forma perimetral de una gota (forma de media lemniscata; cosa curiosa, lemniscata: figura curva ∞ usada como el símbolo de infinito ¿?) que al girarla 45 ° y desarrollar un cuerpo de revolución, se obtienen dos campos toroidales cual si fuesen imágenes antagónicas (una reflejada) de una fuente (surtidor – sumidero cada uno), correspondiendo uno al campo material y el otro al antimaterial.

Trayectoria del Universo observable.
Lo están ocupando en su totalidad, se retroalimentan a sí mismos en la Hipersingularidad (punto de contacto de los dos campos, principio y fin de ambos flujos donde reacciona la materia y la antimateria con la finalidad de mantener separados ambos universos con el adicional resultado de impulsar nuevamente a los fluidos universales de ambos campos a recorrer la finita trayectoria cerrada (geodésica) siendo el motor propulsor universal de dos volúmenes dinámicos, finitos pero continuos).
Universo observable: R = 300.000 × 13.500.000.000
![]()
La propuesta de Dirac provocó un revuelo entre un grupo de científicos vociferantes que inundaron las páginas de las revistas especializadas de cartas y artículos a favor y en contra. Dirac, mientras tanto, mantenía su calma y sus tranquilas costumbres, pero escribió sobre su creencia en los grandes números cuya importancia encerraba la comprensión del universo con palabras que podrían haber sido de Eddington, pues reflejan muy estrechamente la filosofía de la fracasada “teoría fundamental”.
“¿No cabría la posibilidad de que todos los grandes sucesos presentes correspondan a propiedades de este Gran Número [1040] y, generalizando aún más, que la historia entera del universo corresponda a propiedades de la serie entera de los números naturales…? Hay así una posibilidad de que el viejo sueño de los filósofos de conectar la naturaleza con las propiedades de los números enteros se realice algún día”.
Cuando hablamos del Universo, de inmediato, surgen las polémicas y los desacuerdos y las nuevas ideas y teorías modernas que quieren ir más allá de lo que “se sabe”, nunca han gustado en los centros de poder de la Ciencia que ven peligrar sus estatus con ideas para ellos “peregrinas” y que, en realidad, vienen a señalar nuevos posibles caminos para salir del atolladero o callejón sin salida en el que actualmente estamos inmersos: Mecánica cuántica y Relatividad que llevan cien años marcando la pauta en los “mundos” de lo muy pequeño y de lo muy grande sin que nada, las haya podido desplazar.
Esto nos deja con un ridículo 4% para la materia Bariónica que emite luz, y, hablan de todo ello como si realmente estuvieran seguros, cuando solo se trata de una hipótesis, no se ha podido comprobar de manera fehaciente que existe, ni la energía oscura ni la materia oscura.
Mientras tanto, continuamos hablando de materia y energía oscura que delata la “oscuridad” presente en nuestras mentes, creamos modelos incompletos en el que no sabemos incluir a todas las fuerzas y en las que (para cuadrar las cuentas), hemos metido con calzador y un poco a la fuerza, parámetros que no hemos sabido explicar (como el Bosón de Higgs en el Modelo Estándar que…, a pesar de todo ¡No está muy claro que esté ahí!). Sin embargo y a pesar de todo, el conocimiento avanza, el saber del mundo aumenta poco a poco y, aunque despacio, el conocimiento no deja de avanzar y, esperemos que las ideas surjan y la imaginación en la misma medida para que, algún día en el futuro, podamos decir que sabemos, aunque sea de manera aproximada, lo que el Universo es.
Emilio Silvera Vázquez
















Totales: 87.671.660
Conectados: 63





























