Sep
3
El fino equilibrio que permite la presencia de la Vida
por Emilio Silvera ~
Clasificado en El Universo y la Química de la Vida ~
Comments (0)

Las estrellas típicas como el Sol, emiten desde su superficie un viento de partículas cargadas eléctricamente que barre los atmósferas de los planetas en órbitas a su alrededor y a menos que el viento pueda ser desviado por un campo magnético, los posibles habitantes de ese planeta lo podrían tener complicado soportando tal lluvia de radiactividad. En nuestro sistema solar el campo magnético de la Tierra ha protegido su atmósfera del viento solar, pero Marte, que no está protegido por ningún campo magnético, perdió su atmósfera hace tiempo.

Hasta el momento sólo sabemos de la vida en la Tierra
Probablemente no es fácil mantener una larga vida en un planeta del Sistema solar. Poco a poco hemos llegado a apreciar cuán precaria es. Dejando a un lado los intentos que siguen realizando los seres vivos de extinguirse a sí mismos, agotar los recursos naturales, propagan infecciones letales y venenos mortales y emponzoñar la atmósfera, también existen serias amenazas exteriores.


Los movimientos de cometas y asteroides, a pesar de tener la defensa de Júpiter, son una seria y cierta amenaza para el desarrollo y persistencia de vida inteligente en las primeras etapas. Los impactos no han sido infrecuentes en el pasado lejano de la Tierra habiendo tenido efectos catastróficos. Somos afortunados al tener la protección de la luna y de la enorme masa de Júpiter que atrae hacia sí los cuerpos que llegan desde el exterior desviándolos de su probable trayectoria hacia nuestro planeta.
La caída en el Planeta de uno de estos enormes pedruscos podría producir extinciones globales y retrasar en millones de años la evolución.


Cuando comento éste tema no puedo evitar el recuerdo del meteorito caído en la Tierra que impactó en la península de Yucatán hace 65 millones de años, al final de la Era Mesozoica, cuando según todos los indicios, los dinosaurios se extinguieron. Sin embargo, a aquel suceso catastrófico para los grandes lagartos, en realidad supuso que la Tierra fue rescatada de un callejón sin salida evolutivo. Parece que los dinosaurios evolucionaron por una vía que desarrollaba el tamaño físico antes que el tamaño cerebral.
La desaparición de los dinosaurios junto con otras formas de vida sobre la Tierra en aquella época, hizo un hueco para la aparición de los mamíferos. Se desarrollo la diversidad una vez desaparecidos los grandes depredadores. Así que, al menos en este caso concreto, el impacto nos hizo un gran favor, ya que, hizo posible que 65 millones de años más tarde pudiéramos llegar nosotros. Los dinosaurios dominaron el planeta durante 150 millones de años; nosotros, en comparación, llevamos tres días y, desde luego, ¡la que hemos formado!


En estos escenarios “nació” aquella primera célula replicante que inició la fascinante Historia de la Vida
En nuestro sistema solar la vida se desarrolló por primera vez sorprendentemente pronto tras la formación de un entorno terrestre hospitalario. Hay algo inusual en esto. El secreto reside en el tiempo biológico necesario para desarrollar la vida y el tiempo necesario para desarrollar estrellas de segunda generación y siguientes que en novas y supernovas cristalicen los materiales complejos necesarios para la vida, tales como el hidrógeno, nitrógeno, oxígeno, carbono, etc.
Parece que la similitud en los “tiempos” no es una simple coincidencia. El argumento, en su forma más simple, lo introdujo Brandon Carter y lo desarrolló John D. Barrow por un lado y por Frank Tipler por otro. Al menos, en el primer sistema Solar habitado observado ¡el nuestro!, parece que sí hay alguna relación entre t(bio) y t(estrella) que son aproximadamente iguales el t(bio) –tiempo biológico para la aparición de la vida- algo más extenso.


La evolución de una atmósfera planetaria que sustente la vida requiere una fase inicial durante la cual el oxígeno es liberado por la foto-disociación de vapor de agua. En la Tierra esto necesitó 2.400 millones de años y llevó el oxígeno atmosférico a aproximadamente una milésima de su valor actual. Cabría esperar que la longitud de esta fase fuera inversamente proporcional a la intensidad de la radiación en el intervalo de longitudes de onda del orden de 1000-2000 ángstroms, donde están los niveles moleculares clave para la absorción de agua.
Este simple modelo indica la ruta que vincula las escalas del tiempo bioquímico de evolución de la vida y la del tiempo astrofísico que determina el tiempo requerido para crear un ambiente sustentado por una estrella estable que consume hidrógeno en la secuencia principal y envía luz y calor a los planetas del Sistema Solar que ella misma forma como objeto principal.

A muchos les cuesta trabajo admitir la presencia de vida en el Universo como algo natural y corriente, ellos abogan por la inevitabilidad de un Universo grande y frío en el que, es difícil la aparición de la vida, y, en el supuesto de que ésta aparezca, será muy parecida a la nuestra.
![]()
Creo que la clave está en los compuestos del carbono, toda la vida terrestre actualmente conocida exige también el Agua como disolvente. Y como para el carbono, se supone a veces que el agua es el único producto químico conveniente para cumplir este papel. El amoníaco (el nitruro de hidrógeno) es la alternativa ciertamente al agua, la más generalmente posible propuesta como disolvente bioquímico. Numerosas reacciones químicas son posibles en disolución en el amoníaco, y el amoníaco líquido tiene algunas semejanzas químicas con el agua. El amoníaco puede disolver la mayoría de las moléculas orgánicas al menos así como el agua, y por otro lado es capaz de disolver muchos metales elementales. A partir de este conjunto de propiedades químicas, se teorizó que las formas de vida basada en el amoníaco podrían ser posibles. También se dijo del Silicio. Sin embargo, ninguno de esos elementos son tan propicios para la vida como el Carbono y tienen, como ya sabemos, parámetros negativos que no permiten la vida tal como la conocemos.

Hasta rel momento, todas las formas de vida descubiertas en la Tierra, están basadas en el Carbono.
Los biólogos, sin embargo, parecen admitir sin problemas la posibilidad de otras formas de vida, pero no están tan seguros de que sea probable que se desarrollen espontáneamente, sin un empujón de formas de vida basadas en el carbono. La mayoría de los estimaciones de la probabilidad de que haya inteligencias extraterrestres en el Universo se centran en formas de vida similares a nosotras que habiten en planetas parecidos a la Tierra y necesiten agua y oxígeno o similar con una atmósfera gaseosa y las demás condiciones de la distancia entre el planeta y su estrella, la radiación recibida, etc. En este punto, parece lógico recordar que antes de 1957 se descubrió la coincidencia entre los valores de las constantes de la Naturaleza que tienen importantes consecuencias para la posible existencia de carbono y oxígeno, y con ello para la vida en el Universo.


Moléculas precursoras de la Vida presente en las Nebulosas, donde se forman mundos que, después de miles de millones de años, hacen florecer las esporas que hacen posible la diversidad de especies llenas de vida que surgieron a partir de la materia “inerte” evolucionada.
Hay una coincidencia o curiosidad adicional que existe entre el tiempo de evolución biológico y la astronomía. Puesto que no es sorprendente que las edades de las estrellas típicas sean similares a la edad actual del Universo, hay también una aparente coincidencia entre la edad del Universo y el tiempo que ha necesitado para desarrollar formas de vida como nosotros.

:format(jpg)/f.elconfidencial.com%2Foriginal%2F58f%2F13e%2F99b%2F58f13e99bf4f093ab6682fb0705381c4.jpg)
Cualquier cosa que podamos imaginar… ¡Podría ser posible!
Si miramos retrospectivamente cuánto tiempo han estado en escena nuestros ancestros inteligentes (Homo sapiens) vemos que han sido sólo unos doscientos mil años, mucho menos que la edad del Universo, trece mil millones de años, o sea, menos de dos centésimos de la Historia del Universo. Pero si nuestros descendientes se prolongan en el futuro indefinidamente, la situación dará la vuelta y cuando se precise el tiempo que llevamos en el Universo, se hablará de miles de millones de años.


-
C: Carbono
-
H: Hidrógeno
-
O: Oxígeno
-
N: Nitrógeno
-
P: Fósforo
-
Fe: Hierro
-
S: Azufre
-
Ca: Calcio
-
I: Yodo
-
Na: Sodio
-
K: Potasio
-
Cl: Cloro
-
Mg: Magnesio
-
F: Flúor
-
Cu: Cobre
-
Zn: Zinc
-
Glúcidos o Hidratos de Carbono
-
Lípidos
-
Proteínas
-
Ácidos Nucleicos
El el gráfico de arriba están resumidas sus funciones.
A veces, nuestra imaginación dibuja mundos de ilusión y fantasía pero, en realidad… ¿serán sólo sueños?, o, por el contrario, pudieran estar en alguna parte del Universo todas esas cosas que imaginamos aquí y que pudieran estar presentes en otros mundos lejanos que, como el nuestro…posibilito la llegada de la vida.
:format(jpg)/f.elconfidencial.com%2Foriginal%2F9f3%2Fa9f%2F91e%2F9f3a9f91e042accdcc7bda46a67e790d.jpg)
Sí, imaginamos demasiado pero… ¿Qué hay más poderoso que la imaginación?
Brandon Carter y Richard Gott han argumentado que esto parece hacernos bastante especiales comparados con observadores en el futuro muy lejano.
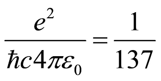
¿Cuántos secretos están en esos números escondidos? La mecánica cuántica (h), la relatividad (c), el electromagnetismo (e–). Todo eso está ahí escondido. El número 137 es un número puro y adimensional, nos habla de la constante de estructura fina alfa (α), y, el día que sepamos desentrañar todos sus mensajes… ¡Ese día sabremos!
Extraños mundos que pudieran ser
Podríamos imaginar fácilmente números diferentes para las constantes de la Naturaleza de forma tal que los mundos también serían distintos al planeta Tierra y, la vida no sería posible en ellos. Aumentemos la constante de estructura fina más grande y no podrá haber átomos, hagamos la intensidad de la gravedad mayor y las estrellas agotarán su combustible muy rápidamente, reduzcamos la intensidad de las fuerzas nucleares y no podrá haber bioquímica, y así sucesivamente.
Hay cambios infinitesimales que seguramente podrían ser soportados sin notar cambios perceptibles, como por ejemplo en la vigésima cifra decimal de la constante de estructura fina. Si el cambio se produjera en la segunda cifra decimal, los cambios serían muy importantes. Las propiedades de los átomos se alteran y procesos complicados como el plegamiento de las proteínas o la replicación del ADN pueden verse afectados de manera adversa. Sin embargo, para la complejidad química pueden abrirse nuevas posibilidades. Es difícil evaluar las consecuencias de estos cambios, pero está claro que, si los cambios consiguen cierta importancia, los núcleos dejarían de existir, n se formarían células y la vida se ausentaría del planeta, siendo imposible alguna forma de vida.
“Es difícil formular cualquier teoría firme sobre las etapas primitivas del universo porque no sabemos si hc/e2 es constante o varía proporcionalmente a log(t). Si hc/e2 fuera un entero tendría que ser una constante, pero los experimentadores dicen que no es un entero, de modo que bien podría estar variando. Si realmente varía, la química de las etapas primitivas sería completamente diferente, y la radiactividad también estaría afectada. Cuando empecé a trabajar sobre la gravedad esperaba encontrar alguna conexión ella y los neutrinos, pero esto ha fracasado.”
Las constantes de la naturaleza ¡son intocables!
Ahora sabemos que el Universo tiene que tener miles de millones de años para que haya transcurrido el tiempo necesario par que los ladrillos de la vida sean fabricados en las estrellas y, la gravitación nos dice que la edad del Universo esta directamente ligada con otros propiedades como la densidad, temperatura, y el brillo del cielo.

Ahora, cuando miramos el Universo, comprendemos, en parte, lo que ahí está presente.
Puesto que el Universo debe expandirse durante miles de millones de años, debe llegar a tener una extensión visible de miles de millones de años luz. Puesto que su temperatura y densidad disminuyen a medida que se expande, necesariamente se hace frío y disperso. Como hemos visto, la densidad del Universo es hoy de poco más que 1 átomo por M3 de espacio. Traducida en una medida de las distancias medias entre estrellas o galaxias, esta densidad tan baja muestra por qué no es sorprendente que otros sistemas estelares estén tan alejados y sea difícil el contacto con extraterrestres. Si existe en el Universo otras formas de vía avanzada, entonces, como nosotros, habrán evolucionado sin ser perturbadas por otros seres de otros mundos hasta alcanzar una fase tecnológica avanzada, entonces, como nosotros, habrán evolucionado sin ser perturbadas por otros seres de otros mundos hasta alcanzar una fase tecnológica avanzada.

La expansión del Universo es precisamente la que ha hecho posible que el alejamiento entre estrellas con sus enormes fuentes de radiación, no incidieran en las células orgánicas que más tarde evolucionarían hasta llegar a nosotras, diez mil millones de años de alejamiento continuado y el enfriamiento que acompaña a dicha expansión, permitieron que, con la temperatura ideal y una radiación baja los seres vivos continuaran su andadura en este planeta minúsculo, situado en la periferia de la galaxia que comparado al conjunto de esta, es solo una cuota de polvo donde unos insignificantes seres laboriosos, curiosos y osados, son conscientes de estar allí y están pretendiendo determinar las leyes, no ya de su mundo o de su galaxia, sino que su osadía ilimitada les lleva a pretender conocer el destino de todo el Universo.
Cuando a solas pienso en todo esto, la verdad es que no me siento nada insignificante y nada humilde ante la inmensidad de los cielos. Las estrellas pueden ser enormes y juntas, formar inmensas galaxias… pero no pueden pensar ni amar; no tienen curiosidad ni en ellas está el poder de ahondar en el porqué de las cosas, nosotros si podemos hacer todo eso y más.

La estructura de los átomos y las moléculas está controlada casi por completo por dos números: la razón entre las masas del electrón y el protón b, que es aproximadamente igual a 1/1.836, y la constante de estructura fina a, que es aproximadamente 1/137. Supongamos que permitimos que estas dos constantes cambien su valor de forma independiente y supongamos también (para hacerlo sencillo) que ninguna otra constante de la Naturaleza cambie. ¿Qué le sucede al mundo si las leyes de la naturaleza siguen siendo las mismas?
Si deducimos las consecuencias pronto encontramos que no hay muchos espacios para maniobrar. Incrementemos b demasiado y no puede haber estructuras moleculares ordenadas porque es el pequeño valor de Beta (aF) el que asegura que los electrones ocupen posiciones bien definidas alrededor de un núcleo atómico y las cargas negativas de los electrones igualan las cargas positivas de los protones haciendo estable el núcleo y el átomo.
Si en lugar de a versión b, jugamos a cambiar la intensidad de la fuerza nuclear fuerte aF, junto con la de a, entonces, a menos que aF > 0,3 a½, los elementos como el carbono no existirían.
No podrían existir químicos orgánicos, no podrían mantenerse unidos. Si aumentamos aF en solo un 4 por 100, aparece un desastre potencial porque ahora puede existir un nuevo núcleo de helio, el helio-2, hecho de 2 protones y ningún neutrón, que permite reacciones nucleares directas y más rápidas que de protón + protón → helio-2.

El ciclo de las estrellas está marcado en función de sus masas
Sin embargo, tienen una vida breve porque agotan su combustible nuclear en unos pocos millones de años y explotan como supernovas al final de sus vidas. Cuando explotan, las supernovas arrojan material al espacio a una velocidad entre 15 000 y 40 000 kilómetros por segundo.
Las estrellas agotarían rápidamente su combustible y se hundirían en estados degenerados o en agujeros negros. Por el contrario, si aF decreciera en un 10 por 100, el núcleo de deuterio dejaría de estar ligado y se bloquearía el camino a los caminos astrofísicos nucleares hacia los elementos bioquímicos necesarios para la vida

Hasta donde sabemos, en nuestro sistema solar la vida se desarrolló por primera vez sorprendentemente pronto tras la formación de un entorno terrestre hospitalario. El secreto reside en el tiempo biológico necesario para desarrollar la vida y el tiempo necesario para desarrollar estrellas de segunda generación y siguientes que en novas y supernovas que llegaran a poder cristalizar los materiales complejos necesarios para la vida, tales como el hidrógeno, nitrógeno, oxígeno, carbono… Si miramos por ahí, encontraremos múltiples noticias como estas:

Telescopio Spitzer de la NASA ha detectado los pilares de la vida en el universo distante, aunque en un entorno violento. Ha posado su poderoso ojo infrarrojo en un débil objeto situado a una distancia de 3.200 millones de años luz (recuadro), Spitzer ha observado la presencia de agua y moléculas orgánicas en la galaxia IRAS F00183-7111.
Co,mo podemos ver, amigos míos, la vida, como tantas veces vengo diciendo aquí, pulula por todo el Universo en la inmensa familia galáctica compuesta por más de ciento veinticinco mil millones y, de ese número descomunal, nos podríamos preguntar: ¿Cuántos mundos situados en las zonas habitables de sus estrellas habrá y, de entre todos esos innumerables mundos, cuántos albergaran la vida?

A muchos les cuesta trabajo admitir la presencia de vida en el universo como algo natural, ellos abogan por la inevitabilidad de un universo grande y frío en el que es difícil la aparición de la vida. Yo (como muchos otros), estoy convencido de que la vida es, de lo más natural en el universo y estará presente en miles de millone de planetas que, como la Tierra, tienen las condiciones para ello. Una cosa no se aparta de mi mente, muchas de esas formas de vida, serán como las nuestras aquí en la Tierra y estarán también, basadas en el Carbono. Sin embargo, no niego que puedan existir otras formas de vida diferentes a las terrestres.
Emilio Silvera V.
Sep
3
¡Extraña Naturaleza! No siempre la comprendemos
por Emilio Silvera ~
Clasificado en Naturaleza misteriosa ~
Comments (0)




En matemáticas se pueden trazar líneas precisas y concretas que dividan en dos clases entes de naturaleza matemática. Una estructura geométrica se superponer o no a su imagen especular. Una estructura asimétrica puede
tener una lateralidad a la derecha o bien a la izquierda. Immanuel Kant, el gran filósofo germano del siglo XVIII, fue el primer pensador eminente que encontró un significado filosófico profundo a las reflexiones especulares.
A Kant le parecía enigmático y misterioso que un objeto asimétrico pueda existir en cualquiera de sus dos imágenes frente a un espejo. Parece magia que, poniendo algunas cosas ante un espejo y mirando esa imagen especular, las cosas puedan parecer tan diferentes y, sin embargo, así resultan ser.
Cualquier entero positivo es par o impar, y no hay ninguno de tales números para
el cual su situación a este respecto ofrezca la menor duda. Pero en el mundo, si exceptuamos el nivel subatómico de la teoría cuántica, las lineas divisortias son casi siempre difusas. El alquitrán, ¿es sólido o líquido?. Lo cierto es que, la mayoría de las propiedades físicas se “mueven” en un espectro continuo que hace que vayan cambiando de manera imperceptible de un extremo a otro del mismo.
La palabra quiral fue introducida por William Thomson (Lord Kelvin) en 1894 designar objetos que no son superponibles con su imagen especular. Aplicado a la química orgánica, podemos decir que una molécula es quiral cuando
ella y su imagen en un espejo no son superponibles.
La quiralidad está a menudo asociada a la presencia de carbonos asimétricos. Un carbono asimétrico es aquel que se une a cuatro sustituyentes diferentes. Un ejemplo de carbono asimétrico lo tenemos en la molécula de Bromocloroyodometano. El carbono está unido a bromo, cloro, yodo e hidrógeno, cuatro sustituyentes diferentes que lo convierten en quiral o asimétrico. La molécula y su imagen en un espejo son diferentes, ningún giro permite superponerlas. La relación una molécula y su imagen especular no superponible es de enantiómeros.

En estos dibujos podemos ver la molécula de Bromocloroyodometano y su enantiómero reflejado en el espejo. Una vez para
la prueba, puse en encima de una mesa unos
modelos tridimensionales de los poliedros enantiamorfos y delante de ellos puse un espejo que reflejaba la figura especular que de dicha puesta en escena resultaba. Las dos escenas (la real y la especular) eran exactamente iguales en lo que hace
referencia a sus propiedades geométricas. A una de las aristas de cada
una de las figuras le corresponde una de la misma longitud en la otra. Todo ángulo de una estaba emparejado al duplicado suyo de la otra. Ninguna medida o inspección de cualquiera de ellas reveló ni una sola característica geométrica que no tuviera la otra. En ese sentido, son figuras congruentes idénticas. ¡Pero, evidentemente, no eran idénticas!

Espejos planos
Cuando
nos ponemos delante del espejo podemos comprobar que en él, aparecen cosas sorprendentes en cuanto a que no se pueden superponer las figuras del modelo con la figura especular. Una simple mano abierta y puesta delante del espejo resulta totalmente diferente en un lado y en el otro de la superficie especular. ponerte delante del espejo y levantar ambos brazos a media altura con las dos manos abiertas y, de manera sorprendente verás que, la figura que aparece en el espejo muestra tu mano y brazo derecho como
izquierdo y el izquierdo como derecho.

La propiedad de las manos, conocida por los químicos como
quiralidad, es una característica que poseen muchas moléculas cuya disposición de los átomos no es completamente simétrica. Una molécula quiral se presenta en dos formas que son más bien como un par de guantes. Dos guantes, uno diestro y otro zurdo, son esencialmente idénticos, con los mismos componentes básicos, cuatro dedos y un pulgar, y la misma función de mantener las manos cómodas y protegidas. Pero, evidentemente, no son exactamente iguales: no se puede girar o voltear un guante de un par que se superponga perfectamente en el otro. Pero
si lo miras en un espejo, un guante de la mano izquierda se convierte en uno de la mano derecha.

Explosiones estelares que han tenido que influir en la Tierra
Cuando las estrellas son muy masivas como es el caso de Eta Carinae, tienen un final explosivo como Supernova y, esparcirán materiales por una extensa región interestelar convirtiéndose en una estrella de neutrones o en un Agujero negro.
¿Por qué la biología utiliza sólo una de las dos formas especulares de la imagen en la que las moléculas más complejas pueden existir? La última respuesta dada a esta
pregunta afecta al campo de la astrofísica, la física de partículas y la bioquímica. La conclusión del último estudio dice que las explosiones estelares conocidas como supernovas son las culpables de que se produzca el fenómeno.

La Naturaleza, como
siempre he dicho aquí, tiene muchos secretos que no hemos llegado a comprender. El paso del tiempo con el cambio de temperaturas convierte en líquido, gas o sólido algunos materiales y, a otros, los deforma hasta perder su estructura original convertirlos en lo que no eran. Nada permanece, todo cambia. Sea cual fuere la línea de división, habrá algunos casos en los que no podamos definirla y, en otros, habrá objetos tan próximos a ella que el lenguaje ordinario no será lo suficientemente preciso como para
poder afirmar a qué lado pertenece. Y, la propiedad de la vida, está, precisamente, en uno de esos continuos.
Para probar esto basta que consideremos los virus: son las estructuras biológicas más pequeñas que se conocen con la propiedad de poder “comer” (absorber sustancias situadas en sus proximidades), crecer y fabricar copias exactas de sí mismas.
Son mucho más pequeños que una bacteria (en realidad, algunos virus infectan las bacterias) y pasan sin dificultad a través de un filtro de que, aunque a nosotros nos parezca que está completamente sellada y su superficie es totalmente hermética y lisa, para
ellos, tan “infinitamente” pequeños, ofrece miles de huecos por los que poder colarse.
Nuevas grabaciones en vídeo de un virus que infecta a las células sugiere que los virus se expanden mucho más rápido de lo que pensábamos. El descubrimiento de este mecanismo permitirá crear nuevos fármacos para hacer
frente a algunos virus. En la punta de un alfiler caben millones de ellos. De hecho, los virus tienen el tamaño de una décima de micrómetro (diezmillonésima del metro).
El mundo de lo muy pequeño es fascinante y, a veces, aterrador, por ejemplo, si hablamos de átomos, se necesitarían aproximadamente una cantidad para nosotros inconmensurable de átomos (602.300.000.000.000.000.000.000) para lograr un gramo de materia. Fijaos que hablamos de lo pequeño que pueden llegar a ser los virus y, sin embargo, el Hidrógeno con un sólo protón es el átomo más ligero y su masa es 400.000 veces menor que la masa de un virus, como
dije, el organismo vivo más pequeño que se conoce. El virus más diminuto conocido mide unos
o,00000002 m; su tamaño es 2.000 veces mayor que el del átomo. Y, en la punta del alfiler que antes mencionamos cabrían 60.000.000.000 (sesenta mil millones) de átomos.

Los virus son nanomáquinas enormemente dañinas que están formados por una sencillisima estructura. Tanto es así que se dice que son entidades biológicas a caballo entre
la materia inerte y la materia viva. Básicamente constan de una envuelta externa llamada cápsida’, formada por proteínas, que se encarga de preservar el ADN en el interior. Los virus no presentan ninguna función metabólica, y consiguen reproducirse parasitando la maquinaria molecular de una célula huésped. El interés por estudiar en profundidad los virus no sólo proviene de la motivación por erradicar las enfermedades que estos producen, sino también
de su estudio materiales. Las cápsidas de los virus son extraordinariamente resistentes.
Como los virus son menores que la longitud de onda de la luz, no pueden observarse con un microscopio luminoso ordinario, pero
los bioquímicos disponen de métodos ingeniosos que les permiten deducir su estructura, ya que pueden verlos mediante bombardeos con rayos X u otras partículas elementales.
En rralidad, es decir que un cristal “crece”, pero lo hace de un modo ciertamente trivial. Cuando se encuentra en una solución que contiene un compuesto semejante a él, dicho compuesto se irá depositando sobre su superficie; a medida que esto ocurre, el cristal se va haciendo mayor, pero el virus, igual que todos los seres vivos, crece de una manera más asombrosa: toma elementos de su entorno, los sintetiza en compuestos que no están presentes en el mismo y hace que se combinen unos con otros de tal manera que lleguen a dar una estructura compleja, réplica del propio virus.

Los virus sólo se multiplican en células vivientes. La célula huésped debe proporcionar la energía y la maquinaria de síntesis, también los precursores de bajo peso molecular para
la síntesis de las proteínas virales y de los ácidos nucleicos. El ácido nucleico viral transporta la especificidad genética para cifrar todas las macromoléculas específicas virales en una altamente organizada.
El poder que tienen los virus de infectar, e incluso matar, un organismo, se debe precisamente a esto. Invade las células del organismo anfitrión, detiene su funcionamiento y lo sustituye, por decirlo de alguna manera, por otros nuevos. Ordena a la célula que deje de lo que normalmente hace para
que comience a fabricar las sustancias necesarias para crear copias de sí mismo, es decir, del virus invasor.
El primer virus que se descubrió, y uno de los más estudiados, es el virus sencillo que produce la “enfermedad del mosaico” en la planta del tabaco. Cristaliza en de barras finas que pueden observarse a través del microsopio electrónico. Recientemente se ha descubierto que cada
barra es, en realidad, una estructura helicoidal orientada a la derecha, formada por unas 2.000 moléculas idénticas de proteína, cada una de las cuales contiene más de 150 subunidades de aminoácidos.
la derecha, de un compuesto de carbono llamado ácido nucleico. El ácido nucleico es una proteína, pero igual que éstas es un polímero: un compuesto con una molécula gigante formada por moléculas más pequeñas enlazadas de manera que formen una cadena.
molécula esta hecha de unidades repetitivas que se conectan entre sí.
bases de cadena. b) Una timina de un lado se une con una adenina del otro. c) Una citosina con una guanina. Las unidades menores , llamadas nucleótidos están constituidas por átomos de Carbono, Oxñigeno, Nitrógeno, Hidrógeno y Fósforo; pero donde las proteínas tienen unas veinte unidades de aminoácidos, el ácido nucleico tiene
solamente cuatro nucleótidos distintos. Se pueden encadenar miles de nucleótidos entre sí, como lo hacen las subunidades de aminoácidos de las proteínas en una variedad prácticamente infinita de combinaciones, para formar cientos de miles de millones de moléculas de ácido nucleico. Exactamente igual que los aminoácidos, cada nucleótido es asimétrico y orientado a la izquierda. A causa de ello, la espina dorsal de una molécula de ácido nucleico, igual que la de una molécula de proteína, tiene una estructura helicoidal orientada hacia la derecha.
en 1987 se ideó un procedimiento para identificar dichos segmentos anómalos en células vivas. El papel del ADN invertido no está claro, y pudiera estar implicado en los mecanismos que ponen en marcha mutaciones que nos lleven a ser hombres y mujeres del futuro con otros “poderes” que vayan más allá para que, de esa manera, podamos llegar a comprender la Naturaleza de las cosas y, en definitiva, nuestra propia naturaleza que sigue siendo un gran misterio para
nosotros.
una molécula y su imagen especular no superponible es de enantiómeros.
nunca en una de paridad par y otra de paridad impar (esto implica la conservación de la paridad). Y, de la misma manera que existen principios de ocnservación para la paridad, el angular, la materia…, también es un hecho irreversible ese principio que nos lleva a saber que, a partir de la materia “inerte”, surgieron los “seres” más pequeños que conocemos y que hicieron posible el surgir de la inmensa variedad de formas de vida que la evolución hizo llegar hasta
nosotros que, estamos aquí hablando de todas estas cuestiones curiosas que nos llevan a saber, un poco más, del mundo en el que vivimos, de la Naturaleza y, de nosotros.Sep
3
La energía del cerebro
por Emilio Silvera ~
Clasificado en El cerebro ~
Comments (4)

La Naturaleza de la mente es el misterio más profundo de la humanidad., se trata, además de un enigma de proporciones gigantescas, que se remonta a milenios atrás, y que se extiende desde el centro del cerebro hasta los confines del Universo. Es un secreto que provocó vértigo y depresión en alguna de las mentes más preclaras de algunos de los filósofos y pensadores más grandes que en el mundo han sido. Sin embargo, este amplio vacío de ignorancia está, ahora, atravesado, por varios rayos de conocimiento que nos ayudará a comprender cómo se regula la energía mental.

Tenemos mucho que aprender para llegar a saber lo que ahí está presente
Aunque puede que no sepamos que es la mente, sabemos algunas cosas sobre el cerebro. Está formado por una red, una increíble maraña de “cables eléctricos” que serpentean a través de una gran cantidad de “sustancias” neuroquímicas. Existen quizás cien mil millones de neuronas en el cerebro humano, tantas como estrellas hay en la Vía Láctea, y, cada una de ellas recibe datos eléctricos de alrededor de mil neuronas, además de estar en contacto y en comunicación con unas cien mil neuronas más.

Los datos llegan y las luces se encienden para transportarlos al adecuado lugar donde quedan guardados para cuando podamos necesitarlos y poder utilizarlos.
El suministro de datos que llega en forma de multitud de mensajes procede de los sentidos, que detectan el entorno interno y externo, y luego envía el resultado a los músculos para dirigir lo que hacemos y decimos. Así pues, el cerebro es como un enorme ordenador que realiza una serie de tareas basadas en la información que le llega de los sentidos. Pero, a diferencia de un ordenador, la cantidad de material que entra y sale parece poca cosa en comparación con la actividad interna. Seguimos pensando, sintiendo y procesando información incluso cuando cerramos los ojos y descansamos.
![]()
La unidad a partir de la cual se configuran todas las fabulosas actividades del cerebro es una célula del mismo, la neurona. Las neuronas son unas células fantásticamente ramificadas y extendidas, pero diminutas.
![]()
Camilo Golgi Dibujo de Neuronas
_and_its_structure_Original_dra_-_(MeisterDrucke-1400400).jpg)
Dibujo de corte de cerebelo (tinción modificada de Golgi) realizado por Ramón y Cajal en 1905
La hipótesis neuronal de las células anatómicamente separadas se estableció cuando Santiago Ramón y Cajal (1852-1934) modificó el método cromo-argéntico de Golgi y lo utilizó en una serie magistral de experimentos. Aunque Golgi y Ramón y Cajal compartieron el premio Nobel en 1906, siguieron siendo rivales encarnizados hasta el final.

Si todas las neuronas del cerebro, los cien mil millones, están anatómicamente separadas unas de otras, ¿cómo podían los mensajes eléctricos que pasaban a través de cada una de ellas saltar de una neurona a la siguiente?. La respuesta es que no saltan sino que hacen otra cosa, y esto tiene una importancia fundamental en relación con el modo en que funciona el cerebro.
![]()
El descubrimiento fue realizado por Otto Loewi, cuando trabajaba en Australia durante la década de 1920. Loewi estaba trabajando con la transmisión neuronal del cerebro al corazón a través del nervio vago. Aisló el corazón de una rana con el nervio vago intacto, y demostró que la estimulación del nervio hacía que los latidos del corazón fueran más lentos. Pero él quería saber cómo se transmitía al corazón el mensaje eléctrico que transporta el nervio vago. ¿Se trataba de una conexión eléctrica o química, o de alguna otra cosa diferente? La clave estaba en una solución química que bañaba el corazón después de la estimulación del nervio vago que como consecuencia segregaba esta sustancia química que hacía de intermediaria en la transmisión del mensaje desde una célula a la siguiente.
Por lo tanto, los impulsos eléctricos nerviosos pasan a los extremos de las neuronas, donde la llegada del impulso hace que la terminación nerviosa libere una sustancia química (un neurotransmisor), que cruza el estrecho espacio que hay entre dos neuronas (la sinapsis), y entonces la sustancia química actúa sobre la segunda neurona para modificar su capacidad de emitir , a su vez, impulsos nerviosos. Cada neurona liberará sólo un tipo de neurotransmisor (habitualmente), pero lo liberará hacia muchas neuronas diferentes.
Existen dos neurotransmisores principales en el cerebro: el glutamato y el GABA. El glutamato actúa sobre la segunda neurona para aumentar la probabilidad de que emita un impulso nervioso (por lo que es un transmisor excitante), mientras que el GABA actúa para disminuir la probabilidad de que lo emita (luego es un transmisor inhibidor).
Cien mil millones de neuronas
No obstante, una neurona no recibe una sola entrada desde una sinapsis neuronal individual, sino que recibe muchos miles. Decenas de miles de sinapsis desde miles de neuronas diferentes cubren la superficie ramificada de una sola neurona. Omito explicar aquí (podría ser tedioso para del lector) todos los mecanismos de los transmisores entre sinapsis y las ramas de salida (los axones) por las que se desplazan las señales eléctricas como ondas.
Una neurona, o una red de neuronas, puede así recoger información de muchas fuentes, incluídos los sentidos, la memoria y las emociones, para controlar la señal que ella misma va a emitir y que finalmente puede ocasionar una contracción o una relajación muscular.
El glutamato es el principal neurotransmisor del cerebro, pero paradójicamente es también una toxina poderosa para las células del sistema nervioso. Cuando los niveles de glutamato son bajos, actúan como una señal entre neuronas, pero si son excesivos las sobreexcitan y las matan.. Esta acción “excito-tóxica” del glutamato parece ser la causa de muerte neuronal durante las apoplejías y en las enfermedades neurodegenerativas, tales como la de Alzheimer, la de Parkinson, y la esclerosis múltiples.
El glutamato es uno de los aditivos más frecuentes en los alimentos, presentándose en forma de sal como glutamato monosódico (GMS). Actúa reforzando el sabor y es omnipresente en la cocina china: la salsa de soja es especialmente rica en glutamato. Afortunadamente, el glutamato que está en el intestino y en la sangre apenas penetra en el cerebro, porque la barrera “sangre-cerebro” impide que glutamato cruce desde la sangre al cerebro.
La mayoría de las personas no lo sabe y de hecho pocas la han padecido, pero existe una enfermedad que responde al nombre de Síndrome de restaurante chino …
No obstante, en medicina existe un trastorno conocido como “síndrome del restaurante chino” –donde nunca he comido, ni comeré- que puede aparecer por comer demasiados alimentos saturados de glutamato y que consiste en unos niveles de glutamano tan elevados en la sangre que no puede impedir que entre en el cerebro y cause la muerte neuronal. Claro que, otras fuentes nos dicen que el GABA, actúa como calmante y de alguna manera, contrarresta el mal. De hecho, los barbitúricos, el principio activo de las píldoras para dormir que toman algunos enfermos depresivos y las benzodiacepinas, como el Librium o el Valium, que reduce la ansiedad, actúan, por ejemplo, reforzando la acción del GABA en su receptor neuronal.
¡Nos queda tanto por aprender!
Emilio Silvera V.
Sep
3
¿Somos Importantes? ¿Hasta que nivel?
por Emilio Silvera ~
Clasificado en La fragilidad HUmana ~
Comments (1)
Entre las enfermedades que no hemos sido capaces de vencer en su totalidad está el Cáncer que, en diferentes versiones todavía causa estragos entre nosotros y, la medicina no ha podido encontrar la solución adecuada para remitirlo.
Un equipo internacional de científicos analiza varias variables del cáncer.


Es una de las enfermedades más comunes y peligrosas de nuestros tiempos. Es el crecimiento anormal de células malignas en el organismo. Se cree que 1 de 3 personas es susceptible de padecerla. De acuerdo con la Sociedad Americana del Cáncer, 7,6 millones de personas murieron de cáncer en el mundo durante 2007. A veces, dada la incapacidad actual de la ciencia para curar los tipos de cáncer más agresivos en estados avanzados de evolución, es preferible renunciar al tratamiento curativo y aplicar un tratamiento paliativo que proporcione el menor grado posible de malestar y conduzca a una muerte digna.

Enfermedad neurodegenerativa de causas desconocidas. Es una de las más difíciles de tratar y afrontar. Provoca deterioro cognitivo, trastornos en la conducta y pérdida de la memoria. El día internacional del Alzheimer se celebra el 21 de septiembre, fecha elegida por la OMS y la Federación internacional de Alzheimer, en la cual se celebran en diversos países actividades para concienciar y ayudar a prevenir la enfermedad.

SIDA
Fue la enfermedad del siglo XX. Causada por el virus de inmunodeficiencia humana (VIH), es una enfermedad infecciosa de consecuencias graves. Se han logrado grandes avances en la medicina pero aún no se conoce la cura. Al menos sí que se ha conseguido que la enfermedad sea crónica. Las probabilidades de una cura son ciertamente remotas, así que los esfuerzos de la investigación actual se centran más en conseguir algún tipo de vacuna que evite nuevos contagios.
LUPUS

El lupus eritematoso sistémico (LES) es una enfermedad autoinmune. Es impredecible y puede provocar artritis, anemia, erupciones cutáneas, etc. Además, ataca órganos internos específicos como el riñón, los pulmones o hasta el corazón.
El lupus se presenta más comúnmente en asiáticos y africanos y es 9 veces más frecuente en las mujeres que en los hombres. Las primeras manifestaciones de la enfermedad se observan frecuentemente entre los 15 y 44 años de edad. Aunque hasta el momento no hay una cura, los síntomas se tratan principalmente con dosis bajas de corticosteroides, inmunosupresores y antipalúdicos como la hidroxicloroquina.
Diabetes

Generada por un desorden metabólico por el cual la persona tiene demasiada azúcar en la sangre y no produce suficiente insulina. Un segundo tipo se da porque el organismo ofrece resistencia a la insulina producida. La diabetes mellitus no es una patología única sino un síndrome, por lo cual esta denominación incluye hoy en día a su vez, a varios tipos de afecciones diferentes pero con una característica común: la hiperglucemia y sus consecuencias.
Para el año 2000, se estimó que alrededor de 171 millones de personas eran diabéticas en el mundo y que llegarán a 370 millones en 2030. Este padecimiento causa diversas complicaciones, dañando frecuentemente a ojos, riñones, nervios y vasos sanguíneos.
Ébola

Fiebre hemorrágica transmitida de los primates a los humanos que puede ser mortal. Es originaria de África y tiene una tasa de mortalidad de entre 50 y 90% de los casos. En un lapso de una semana, una erupción, frecuentemente hemorrágica, aparece en todo el cuerpo. Las hemorragias se presentan generalmente desde el tubo gastrointestinal, haciendo que el infectado sangre tanto por la boca como por el recto.
El virus está vivo en África. En el año 1976 murieron alrededor del 85% de los infectados.
El virus del Ébola no tiene cura y ningún tratamiento específico. El tratamiento que se utiliza en la actualidad es mantener la vida de la persona mediante métodos de resucitación (respiración artificial, evitando el RCP pues el virus es contagioso por la saliva) y controlar las hemorragias en la medida de lo posible. En cuanto a una vacuna, se realizan investigaciones, pero éstas se complican porque aún no se conocen todas las proteínas del virus y porque hay sólo cuatro laboratorios equipados para trabajar con un virus como éste.
Asma

Enfermedad crónica que puede avanzar en etapas graves. Se produce en los pulmones e inflama las vías respiratorias. Si no se lleva un tratamiento adecuado puede llegar a ser mortal. Aunque se conoce que el asma es una condición causada por una inflamación crónica de las vías aéreas, los componentes precisos de esta inflamación están todavía por dilucidar y sus causas son inciertas.
En los últimos veinte años se ha registrado un aumento en su incidencia debido en parte a la contaminación ambiental y las consecuencias de ésta, y en parte al aumento de la población mundial. Por ejemplo, la Organización Mundial de la Salud reportó que un 8% de la población suiza padecía de asma, comparado con solo 2% hace 25-30 años atrás.
Poliomielitis

Enfermedad viral que ataca al sistema nervioso y puede llegar a causar parálisis total o parcial. Afecta principalmente a los niños de entre 5 y 10 años.
La enfermedad fue descrita por primera vez por el alemán Jakob Heine en 1840.
La Organización Mundial de la Salud declara que una zona está libre de una enfermedad cuando transcurren tres años sin que se dé ningún caso. En 1994, la OMS consideró a la Región de América (36 países) libre de polio, en el año 2000 lo hizo con la Región del Pacífico (37 países, incluyendo China). En 2002 se declaró a la Región Europea.
Gripe

Es muy común y probablemente todos la sufrimos en algún momento. La causa un virus que afecta a las vías respiratorias y que siempre está mutando, lo que hace que solo lo controlemos por un determinado tiempo. Hay tratamientos disponibles que se centran en aliviar los síntomas, y también en ayudar al cuerpo a desarrollar sus defensas.
La gripe alcanza sus picos de mayor prevalencia durante el invierno, y debido a que el hemisferio norte y el hemisferio sur atraviesan esta estación en diferentes momentos existen, de hecho, dos temporadas de gripe cada año: de octubre a abril en el hemisferio norte y de mayo a septiembre en el hemisferio sur. No se sabe la razón exacta de que la gripe aparezca en esas épocas, pero se supone que la razón es que, debido al frío, la gente suele encerrarse en lugares más cerrados y el contacto interpersonal se hace más estrecho.
Resfriado común

Es la enfermedad más común. Después del resfriado, el enfermo desarrolla una inmunidad al virus. Sin embargo, debido al gran número de virus que existen, podemos enfermarnos nuevamente. El resfriado común está causado por numerosos virus (principalmente rinovirus, coronavirus y también ciertos ecovirus y coxsackievirus) que infectan el sistema respiratorio superior.
En contra de la creencia popular, la vitamina C no reduce ni previene los síntomas de la enfermedad.

Está claro que existen otras muchas enfermedades incurables y, algunas de ellas de tipo raro de las que no sabemos nada. Sin embargo, el mundo de la medicina no deja de trabajar en la persecución de curas para todas estas enfermedades que, no pocas veces, amargan la vida de muchas personas.
Aunque la gente de la calle no esté al día, también en los adelantos de los viajes Espaciales se encuentran algunos remedios que, en tierra firme son imposibles de investigar.

De todas las maneras, la peor enfermedad que padecemos la Humanidad es… ¡La Vejez! ¿Se encontrará remedio para ella algún día? Podremos alargar algunos años la vida mediante descubrimientos de nuevos fármacos. Sin embargo, como sistema cerrado que somos, la Entropía hará su trabajo con el inexorable paso del Tiempo, nada ni nadie podrá parar nuestro destino hacia la inevitable vejez.
COVID19

Ya no saben donde poner a tanto muerto, todos confinados en casa, haciendo colas para comprar víveres, calles desiertas, un Gobierno que no sabe gobernar ni tomar a tiempo las medidas adecuadas, sin proteger a los ciudadanos, sin hacer las pruebas necesarias y, mientras ellos, siguen cobrando y haciendo las pruebas por triplicado… ¡Que gentuza! Bueno, al menos eso es lo que está pasando en España donde batimos todos los record en relación habitantes muertes.
Lo más vergonzoso de todo esto es que, a los ancianos de 80 años ni se les atiende, se les pone algo para que mueran y a seguir adelante, sin tener en cuenta que ellos hicieron posible que ahora nosotros estemos aquí.
Cuando todo esto pase, ¿Pagará alguien por la dejación de funciones, por poner por delante los intereses de sus grupos políticos, antes de mirar por las vidas humanas? ¿Por no poner remedio a tiempo? ¿Por adquirir material sanitario inservible? ¡Qué locura! Eso ha pasado en España y… ¡Todos tan contentos!
Nuestra fragilidad es grande, y… ¿Nos creemos importantes?
Emilio Silvera V.
e
















Totales: 84.387.490
Conectados: 55

























