Nov
10
¡Qué cosas! ¿Sabremos alguna vez?
por Emilio Silvera ~
Clasificado en El pasado ~
Comments (0)
Sí, el rastro, las huellas del pasado están presentes en todo lo que podamos observar en el Universo. La chica examina esa gran Nebulosa que llamamos Orión, y, ella sabe de su procedencia y origen, dado que se formó en una gran explosión Supernova que regó el Espacio Interestelar de materia para que, a partir de ella, surgieran nuevas estrellas y nuevos mundos.

Descubren un joven sistema planetario en formación. Lo que pasó siempre deja rastros que nos cuentan la historia. Tenemos la ventaja de mirar por el Telescopio y captamos la imagen de una galaxias situada a 2.000 millones de años luz, la vemos como era entonces, es como viajar al pasado. Nos permite saber lo que pasó sin haber estado allí.

En esta inmensidad encontraron un Sistema planetario con tres estrellas
Bueno, en cierta manera sí. El Universo tiene y conserva (como ocurre en la Tierra), las reliquias de su pasado. A lo largo y a la ancho del Cosmos podemos encontrar muestras de objetos que nos cuentan lo que antes pasó en el Universo. Una supernova es el momento de la explosión de una estrella masiva, debido a que la presión para mantener todos los átomos nucleares es insostenible. “La simetría es la armonía de posición de las partes o puntos similares unos respecto de otros, y con referencia a un punto, línea o plano determinado. Una estrella tiene forma esférica, por lo tanto se espera que si la explosión es en todas las direcciones, su remanente también presente la misma apariencia simétrica. Sin embargo los remanentes de las supernovas no son simétricos. Una posible causa de asimetría en remanentes de supernovas consiste en la variación de masas de los elementos de la estrella.
Dentro del remanente del Cangrejo, cuando profundizamos un poco, podemos descubrir con asombro, como un objeto de inmensa energía magnética, gira y gira de manera frenética. De hecho, en la Nebulosa del Cangrejo (también conocida como M1, NGC 1952, Taurus A … En su centro vive un púlsar, denominado PSR0531+121, que gira sobre sí …. entre 28 y 30 kilómetros; emite pulsos de radiación cada 33 milisegundos. … Se trata de uno de los escasos remanentes de supernova que pueden …

Los restos de una estrella que explotó hace casi mil años forman la nebulosa del Cangrejo, una de los objetos más bellos del cielo y cuyos filamentos de plasma son estudiados por los Astronómos que, de esta manera, llegan a comprender la evolución de la materia a partir de los sucesos más energéticos del Universo.
Si observamos el Universo como un todo, podemos localizar que en él se manifiestan correlaciones bien afinadas que desafían todo lo que nos dicta nuestro sentido común. Unas de esas correlaciones pueden estar situadas en el nivel cuántico, donde, cada partícula que haya ocupado alguna vez el mismo nivel cuántico de otra partícula permanece relacionada con ella, de una misteriosa manera no energética.

Sabemos que, la teoría de la evolución post-darwiniana y la biología cuántica descubren enigmáticas correlaciones similares en el organismo y entre el organismo y su entorno. Todas las correlaciones que salen a la luz en las investigaciones más avanzadas sobre la conciencia vienen a resultar igual de extrañas: tienen la forma de conexiones temporales entre la conciencia de una persona y el cuerpo de otra. Al parecer, las redes de conexiones que constituyen un Cosmos Evolutivo Coherente, para el enmarañamiento cuántico, para la conexión instantánea entre organismos y entornos y entre las conciencias entre distintos e incluso distantes seres humanos, tienen una única explicación, que es la misma en todos los casos.

La mayor parte de las neuronas posee una estructura arbórea formada en su mayor parte por dendritas que, conectadas a otras neuronas, se encargan de recibir y enviar información mediante conexiones sin fin. Esta obra de la Naturaleza, no siempre tiene explicación para nosotros, los humanos, tan ignorantes aún. Muchas veces hemos dicho aquí que a partir de la “materia inerte” llegamos a los pensamientos.

¿Será posible que, además de materia y energía, en el Universo pueda existir algún otro elemento muy sutil, aunque no por eso menos real: información en forma de “in-formación” activa y efectiva que puede conectar todas las cosas presentes en el espacio-tiempo, de manera tal que, exista una especie de memoria en el Universo que, cuando ahondamos en la observación y el estudio, allí se nos aparece y la podemos “ver” tan real como podemos ver a las estrellas.
Algunos dicen que; “Las interacciones en los dominios de la Naturaleza, así como en los de la Mente, están medidas por un campo fundamental de información en el corazón del Universo”. Así, todo el Universo es un contenedor de información dinámico que evoluciona y acumula más información a medida que el tiempo transcurre y su dinámica “viva” no deja de crear para que nada permanezca y todo se transforme.

La Nebulosa de Orión (cuyo material una vez, formó parte de una estrella masiva) y, se trata de una enorme nube de turbulencia del gas, con una formación de hidrógeno, que es iluminada por brillantes estrellas jóvenes y calientes, inclucyendo una estrella llamada Trapezium,
![]()
El cúmulo del Trapecio en luz visible (izquierda) y en infrarroja (derecha)
que están en vías de desarrollo dentro de la nebulosa. Esa es la dinámica a que antes me refería y que, en el Universo está presente de mil formas distintas.
Pero claro, el Universo es grande y complejo, muchas son las cosas que de él desconocemos, y, si nos preguntamos, por ejemplo, ¿qué es el vacío cuántico? podemos responder conforme a la información que actualmente tenemos pero, ¿es la respuesta la adecuada?
El concepto de espacio-tiempo como medio físico lleno de energía virtual fue emergiendo gradualmente a lo largo del siglo XX. Al comienzo del siglo se pensaba que el espacio estaba ocupado por un campo energético invisible que producía rozamiento cuando los cuerpos se movían a través de él y ralentizaba su movimiento. Todos conocemos eso como la Teoría del Éter Lumínico o Luminífero. Cuando ese rozamiento no se pudo detectar con el experimento de Michelson-Morley, el éter quedó rechazado de la imagen del mundo físico. Sin embargo, se cree que algo permea todo el espacio.

Sus genios quedaron atrás, ahora el mundo necesita nuevos caminos, nuevos conceptos, nuevas energías. ¿Podrán, algún día, las energías llamadas de Punto Cero, suplir a estas otras de origen fósil que se agotaran en unas pocas décadas? Claro que las cosas no siempre son lo que parecen y, lo único que necesitamos es la capacidad intelectual para saber “ver” lo que hay. Siempre ha pasado igual, hemos creado teorías que más tarde, cuando se adquirieron nuevos conocimientos, tuvieron que ser desechadas y tomar las nuevas que nos decían otra realidad de cómo funcionaba la Naturaleza.

El vacío perfecto no existe… ¡Siempre hay!
Hace tiempo que se llegó a demostrar que, el vacío cósmico estaba lejos de ser espacio vacío. En las Teorías de Gran Unificación (GUT) que fueron desarrolladas durante la segunda mitad de ese siglo XX, el concepto de vacío se transformó a partir del espacio vacío en el medio que transporta el campo de energías de punto cero que, son energías de campo que han demostrado estar presentes incluso cuando todaqs las formas clásicas de energía desaparecen: en el cero absoluto de temperatura. En las teorías unificadas subsiguientes, las raíces de todos los campos y las fuerzas quedan adscritas a ese mar de energía misterioso denominado “vacío unificado”.
Allá por los años sesenta, Paul Dirac demostró que las fluctuaciones en los campos fermiónicos producían una polarización de vacío, mediante la cual, el vacío afectaba a la masa de las partículas, a su carga, al spin o al momento angular. Esta es una idea revolucionaria, ya que, en este concepto el vacío es más que el continuo tetradimensional de la Teoría de la Relatividad: no es sólo la geometría del espacio-tiempo, sino un campo físico real que produce efectos físicos reales.
Punto cero… vacío cuántico
La interpretación física del vacío en términos del campo de punto cero fue reforzada en los años 70 , cuando Paul Davis y William Unruth propusieron la hipótesis que diferenciaba entre el movimiento uniforme y el acelerado en los campos de energía de punto cero. El movimiento uniforme no perturbaría el ZPF, dejándolo isotrópico (igual en todas las direcciones), mientras que el movimiento acelerado produciría una radiación térmica que rompería la simetría en todas las direcciones del campo. Así quedó demostrado durante la década de los 90 mediante numerosas investigaciones que fueron mucho más allá de la “clásica” fuerza Casimir y del Desplazamiento de Lamb, que han sido investigados y reconocidos muy rigurosamente.

De las Placas Casimir ¿Qué podemos decir? es bien conocido por todos que dos placas de metal colocadas muy cerca, se excluyen algunas longitudes de onda de las energías del vacío. Este fenómeno, que parece cosa de magia, es conocido como la fuerza de Casimir. Ésta ha sido bien documentada por medio de experimentos. Su causa está en el corazón de la física cuántica: el espacio aparentemente vacío no lo está en realidad, sino que contiene partículas virtuales asociadas con las fluctuaciones de campos electromagnéticos. Estas partículas empujan las placas desde el exterior hacia el interior, y también desde el interior hacia el exterior. Sin embargo, sólo las partículas virtuales de las longitudes de onda más cortas pueden encajar en el espacio entre las placas, de manera que la presión hacia el exterior es ligeramente menor que la presión hacia el interior. El resultado es que las placas son forzadas a unirse.
También aparecen otros efectos, algunos científicos han postulado que la fuerza inercial, la fuerza gravitatoria e incluso la masa eran consecuencia de interacción de partículas cargadas con el ZPF. Es todo tan misterioso.
Debido a que el Universo es finito, en los puntos críticos dimensionales, las ondas se superponen y crean ondas estacionarias duraderas. Las ondas determinan interacciones físicas fijando el valor de la fuerza Gravitatoria, la Electromagnética, y las fuerzas nucleares Débil y Fuerte. Estas son las responsables de la distribución de la materia a través del Cosmos pero, a quién o a qué responsabilizamos de esa otra clase (hipotética) de materia que, al parecer está por ahí oculta. ¿Tendrá, finalmente el vacío algo que ver con ella?

El Observatorio de rayos X Chandra, el tercero de los grandes observatorios de la NASA, ha descubierto un excepcional objeto según la página web de la propia NASA, y, de la misma manera, hay descubrimientos recientes que confirman la presencia de ondas de presión en el vacío. Utilizando el Observatorio de rayos X Chandra, los Astrónomos han encontrado una onda generada por el agujero negro super-masivo en Perseus, a 250 millones de años luz de la Tierra. Esta onda de presión se traduce en la onda musical Si menor. Se trata de una nota real, que ha estado viajando por el espacio durante los últimos 2.500 millones de años. Nuestro oído no puede percibirla, porque su frecuencia es 57 octavas más baja que el Do medio, más de un millón de veces más grande de lo que la audición del hombre puede percibir.
Los siete colores del Arco Iris: Rojo, Naranja, Amarillo, Verde, Azul, Añil y Violeta. El arco iris es un fenómeno óptico y meteorológico que produce la aparición de un espectro de frecuencias de luz continuo en el cielo cuando los rayos del sol atraviesan pequeñas gotas de agua contenidas en la atmósfera terrestre.

Recuerdos de la niñez y los Siete pecados capitales: Lujuria, Gula, Avaricia, Pereza, Ira, Envidia, Soberbia. Los siete pecados capitales son una clasificación de los vicios mencionados en las primeras enseñanzas del cristianismo para educar a sus seguidores acerca de la moral cristiana. En los colegios de entonces, nos predicaban estas cosas que, como suele ocurrir, cuando de niño te machacan una y otra vez con estos cánticos… ¡Set te quedan grabados!

Las Siete notas musicales: Do, Re, Mi, Fa, Sol, La y Si Los nombres de las notas musicales se derivan del poema Ut queant laxis del monje benedictino friulano Pablo el Diácono, específicamente de las sílabas iniciales del Himno a San Juan Bautista. Las frases de este himno, en latín, son así: Ut queant laxis/Resonare…

Se dijo que Dios creó el mundo en siete días: Lunes, Martes, Miércoles, Jueves, Viernes, Sábado y Domingo. Los siete cuerpos celestes que dieron lugar a estos nombres fueron la Luna, Marte, Mercurio, Júpiter, Venus, Saturno y el Sol. En español, sábado procede de la fiesta hebrea “Sabbat” y domingo de la palabra latina “Dominus”, el señor… Como podéis ver, el pasado siempre estará con nosotros. Incluso el nombre de algunas constelaciones provienen del pasado, de otras civilizaciones que dejaron señalado el camino. Siempre ha sido así y lo seguirá siendo.

Las sumas de las caras opuestas de un Dado, siempre es igual a Siete: 1+6; 2+5; 3+4

También decimos que un gato tiene Siete vidas: En el mundo hispano hablante se dice que los gatos tienen siete vidas. La creencia en las siete vidas del gato tiene un origen tanto supersticioso como esotérico. No cabe duda de que la excepcional resistencia del gato, su capacidad de salir indemne ante las situaciones más complicadas.
Muchas más serían las cosas relacionadas con el Número Siete. De todas las maneras, ¡cómo somos los humanos! a todo le tenemos que sacar punta… Lo dicho, nuestra curiosidad que nos lleva en volandas hacia la Casa de la Sabiduría que, ¡está en tantos lugares!
emilio silvera
Feb
21
Siempre es la misma cosa…que adopta distintas formas
por Emilio Silvera ~
Clasificado en El pasado ~
Comments (1)


La Mente, el mundo, el Universo
Nuestra estrategia para explicar la base neuronal de la conciencia consiste en centrarse en las propiedades más generales de la experiencia consciente, es decir, aquella que todos los estados conscientes comparte. De estas propiedades, una de las más importantes es la integración o unidad. La integración se refiere a que el sujeto de la experiencia no puede en ningún momento dividir un estado consciente en una serie de componentes independientes. Es una propiedad que está relacionada con nuestra incapacidad para hacer conscientemente dos cosas al mismo tiempo, como, por ejemplo relacionar en un papel todas las familias de partículas que conocemos mientras que, al mismo tiempo, se mantiene una discusión sobre los agujeros negros.

Aplicando la atención hemos llegado a saber que, el electrón tiene una masa en reposo (me) de 9, 109 3897 (54) x 10-31 kg y una carga negativa de 1,602 177 33(49) x 10-19 culombios. Esa realidad, aunque vinieran los sabios físicos de un planeta habitable situado en la estrella Resplandor de una Galaxia muy lejana, cuando hicieran los cálculos matemáticos y los experimentos necesarios, las cifras seguirían siendo las mismas, toda vez que, al tratarse de constantes fundamentales, ni la masa ni la carga pueden tener otra realidad distinta sea cual fuere el observador. Esto nos quiere decir que, hay realidades que nunca varian y, eso, nos puede traer alguna esperanza de que, alguna vez, podríamos conocer el Universo, tal como es.

Esta sí es una realidad, sin ella, el mundo no sería tal como lo conocemos.
Sin embargo, no podemos negar nuestras limitaciones tanto de percepción como intelectuales para reconocer “el mundo” tal como es. Es “nuestro mundo” que, cuando sea visitado por “otros”, pudiera ser muy distinto al que nosotros percibimos y, podrían “ver” cosas que nosotros no vemos.
Vivímos en nuestra propia realidad, la que forja nuestras mentes a través de los sentidos y la experiencia. Incluso entre nosotros mismos, los seres de la misma especie, no percibimos de la misma manera las mismas cosas. Sí, muchos podemos coincidir en la percepción de algo, sin embargo, otros muchos diferirán de nuestra percepción y tendrán la suya propia. Esa prueba se ha realizado y la diversidad estuvo presente.

Estará aquí, la llave de la sabiduría
No, no será nada fácil despejar las incognitas presentes en esta inmensa complejidad que llamamos Mente. Creo de manera firme que, finalmente, todo se traduce a Química y Luz. Energías de velocidades alucinantes que recorren el enmarañado entramado de neuronas y que hace posible todas y cada una de las maravillas que “real”mente se producen en nosotros y que no siempre sabemos traducir ni comprender.
Es tan grande el poder de nuestra mente que nada hay tan distante que no podamos, virtualmente hablando, traer ante nosotros. Somos capaces ya de escrutar el espacio y vislumbrar los confines del universo en edades muy cercanas a su nacimiento y, merced a los microscopios, nos acercamos al universo atómico para explorar los componentes de la materia. Parece que nada podrá (con el tiempo) escapar a nuestro control, con lo que todo nuevo “mundo” se revelará a nuestro entendimiento.
Nunca estamos satisfechos de los logros alcanzados (menos mal) y siempre surgirán seres especiales (Copérnico, Kepler, Galileo, Hooke, Newton…) que nos guiarán por el camino iluminado de su genio para mostrarnos la auténtica sabiduría mediante un pensamiento evolutivo que siempre dará un paso adelante, superando así el pensamiento nuevo al anterior. Pero, eso sí, esos avances han sido posible gracias a que hombres y mujeres pensaron con la lógica pero…, nunca dejaron de lado la imaginación.
La prueba de ello la podemos encontrar en Newton y Einstein. ¿Quién puede dudar de la grandeza de Newton? La pregunta está contestada de antemano. Sin embargo, los ejemplos de la historia son muy elocuentes: Newton con su física, Leibniz con su metafísica, con sus principios filosóficos como el de la razón suficiente. Y la física ganó a la metafísica; Newton a Leibniz, aunque de aquella batalla…habría mucho que hablar.
Durante mucho tiempo, espacio y tiempo se entendieron como entes absolutos, hasta que llegó Einstein con sus dos teorías de la relatividad, la especial y la general, y aunque los caminos que siguió para conseguirlos no fueron metafísicos, no podemos negar la intervención de un genio de inspiración superior que a veces, nos puede llevar a pensar que, en algún sentido, finalmente Leibniz había sido el más acertado, ya que las teorías einstenianas pueden ser clasificadas dentro de un orden del pensamiento superior.
Así, la evolución continuó su camino imparable y el espacio y el tiempo absolutos de Newton, resultaron ser menos absolutos de lo que se pensaba; eran relativos y, además, eran una misma cosa, que a partir de ahí pasó a llamarse espacio-tiempo unidos y no separados. Así fue deducido por Minkouski al leer la teoría de Einstein.

Laplace
Quiero mencionar en este punto a dos grandes newtonianos: Lagrange y Laplace.
La obra de Newton, como todas las grandes obras, fue discutida y sometida a estudios rigurosos, analizada y removida. La ciencia del genio, claro, permaneció al margen de todas las críticas para dejar de ser discutida y pasar a ser desarrollada. Así ha resultado ser la Historia.
Recordemos en este sentido la cumbre de la física y de las matemáticas del siglo XVIII que es la Méchanique analytique (Chez la Veuve Desaint, París 1788), de Joseph-Louis Lagrange (1736 – 1813), un íntimo amigo de d’Alembert, en la que la mecánica de Newton alcanzó un nuevo nivel de pureza al reducir el sistema a un conjunto de fórmulas generales de las que se podían deducir todas las expresiones necesarias para resolver un problema. O los cinco tomos del Traité de mécanique céleste (Crapelet para J. B. M. Duprat, París 1799 – 1827) de Pierre-Simón Laplace (1749 – 1827), en los que se erradican numerosas anomalías de las explicaciones originales de Newton sobre los movimientos de los cuerpos celestes.
El texto de Laplace, al igual que el de Lagrange, era de difícil lectura para legos en las ciencias matemáticas, y tal complejidad dio lugar a versiones posteriores más sencillas para el entendimiento general, que finalmente hizo posible divulgar los enormes conocimientos alcanzados a partir de Newton, gracias a estos dos genios.

Sí, se vislumbra, a lo lejos, una esplendorada luz que, sin embargo, tiene en todo su centro un signo de interrogación que viene a significar lo que no sabemos. Es mucho lo que nos queda por descubrir y, hombres que, como Newton, Lagrange y Laplace y después Planck, Maxwell y Einstein nos han dejado un camino que seguir, sin embargo, no estamos situados aún en esa zona luminosa del saber sino que…
Un respiro en el camino:
- El ignorante, teme o adora lo que no comprende.
- Los ingratos acaban por disuadir a los virtuosos de poner en prácticas sus bondades.
- Amigo leal y franco, mirlo blanco.
Esto me recuerda aquella aseveración atribuida indistintamente a Séneca y Aristóteles:
“¡Oh, amigos míos, no hay ningún amigo!”
Hay otra que nos da a entender que los amigos egoístas y poco dispuestos a prestarnos su ayuda, en momentos necesarios son inútiles y no importa, pues, prescindir de ellos:
“Amigo que no presta y cuchillo que no corta,
que se pierdan poco importa.”
¡Esto de los amigos! Hay otra que dice:
“El que tiene un amigo, tiene un tesoro.
El que tiene un tesoro, tiene muchos ‘amigos’.”
“Si un amigo se comporta como la sombra que,
cuando luce el Sol nos abandona, no era un amigo.”
Pero volvamos al trabajo y continuemos repasando cosas interesantes y viajemos hasta el siglo XIX, que fue vital para la ciencia. Aunque la ciencia ya había mostrado para entonces su capacidad única para estudiar qué sucede en la naturaleza y qué principio (o leyes) la gobiernan, y contaba por entonces con una larga lista de teorías, datos y héroes científicos, no se había convertido todavía en una gran empresa, en la “profesión” que terminaría siendo.
La “profesionalización” e “institución” de la ciencia, entendiendo por tal que la práctica de la investigación científica se convirtiese en una profesión cada vez más abierta a personas sin medios económicos propios, que se ganaban la vida a través de la ciencia y que llegasen a atraer la atención de gobiernos e industrias, tuvo su explosión a lo largo de 1800, y muy especialmente gracias al desarrollo de dos disciplinas, la química orgánica y el electromagnetismo. Estas disciplinas, junto a las matemáticas, la biología y las ciencias naturales (sin las cuales sería una necedad pretender que se entiende la naturaleza, pero con menos repercusiones socio-económicas), experimentaron un gran desarrollo entonces, tanto en nuevas ideas como en el número de científicos importantes: Faraday, Maxwell, Lyell, Darwin y Pasteur, son un ejemplo. Sin olvidar a otros como Mendel, Helmholtz, Koch, Virchow, Lister o Kelvin, o la matemática de Cauchy, de Gauss, Galois, Fourier, Lobachevski, Riemann, Klein, Cantor, Russell, Hilbert o Poincaré. Pero vamos a pararnos un momento en Faraday y Maxwell.

Faraday
Para la electricidad, magnetismo y óptica, fenómenos conocidos desde la antigüedad, no hubo mejor época que el siglo XIX. El núcleo principal de los avances que se produjeron en esa rama de la física (de los que tanto se benefició la sociedad –comunicaciones telegráficas, iluminación, tranvías y metros, etc.–) se encuentra en que, frente a lo que se suponía con anterioridad, se descubrió que la electricidad y el magnetismo no eran fenómenos separados.
El punto de partida para llegar a este resultado crucial fue el descubrimiento realizado en 1.820 por el danés Hans Christian Oersted (1777 – 1851) de que la electricidad produce efectos magnéticos: observó que una corriente eléctrica desvía una aguja imanada. La noticia del hallazgo del profesor danés se difundió rápidamente, y en París André-Marie Ampère (1775 – 1836) demostró experimentalmente que dos hilos paralelos por los que circulan corrientes eléctricas de igual sentido, se atraen, repeliéndose en el caso de que los sentidos sean opuestos.
Poco después, Ampère avanzaba la expresión matemática que representaba aquellas fuerzas. Su propósito era dar una teoría de la electricidad sin más que introducir esa fuerza (para él “a distancia”).
Pero el mundo de la electricidad y el magnetismo resultó ser demasiado complejo como para que se pudiera simplificar en un gráfico sencillo, como se encargó de demostrar uno de los grandes nombres de la historia de la ciencia: Michael Faraday (1791 – 1867), un aprendiz de encuadernador que ascendió de ayudante de Humphry Davy (1778 – 1829) en la Royal Intitution londinense.
En 1821, poco después de saber de los trabajos de Oersted, Faraday, que también dejó su impronta en la química, demostró que un hilo por el que pasaba una corriente eléctrica podía girar de manera continua alrededor de un imán, con lo que vio que era posible obtener efectos mecánicos (movimiento) de una corriente que interacciona con un imán. Sin pretenderlo, había sentado el principio del motor eléctrico, cuyo primer prototipo sería construido en 1.831 por el físico estadounidense Joseph Henry (1797 – 1878).
![]()
Lo que le interesaba a Faraday no eran necesariamente las aplicaciones prácticas, sino principalmente los principios que gobiernan el comportamiento de la naturaleza, y en particular las relaciones mutuas entre fuerzas, de entrada, diferentes. En este sentido, dio otro paso importante al descubrir, en 1.831, la inducción electromagnética, un fenómeno que liga en general los movimientos mecánicos y el magnetismo con la producción de corriente eléctrica.
Este fenómeno, que llevaría a la dinamo, representaba el efecto recíproco al descubierto por Oersted; ahora el magnetismo producía electricidad , lo que reforzó la idea de que un lugar de hablar de electricidad y magnetismo como entes separados, sería más preciso referirse al electromagnetismo.
La intuición natural y la habilidad experimental de Faraday hicieron avanzar enormemente el estudio de todos los fenómenos electromagnéticos. De él es, precisamente, el concepto de campo que tanto juego ha dado a la física.
Sin embargo, para desarrollar una teoría consistente del electromagnetismo se necesitaba un científico distinto: Faraday era hábil experimentador con enorme intuición, pero no sabía expresar matemáticamente lo que descubría, y se limitaba a contarlo. No hubo que esperar mucho, ni salir de Gran Bretaña para que un científico adecuado, un escocés de nombre James Clerk Maxwell (1831 – 1879), hiciera acto de presencia.
Maxwell
Maxwell desarrolló las matemáticas para expresar una teoría del magnetismo-electricidad (o al revés) que sentó las bases físicas de aquel fenómeno y contestaba a todas las preguntas de los dos aspectos de aquella misma cosa, el electromagnetismo. En sus ecuaciones vectoriales estaban todos los experimentos de Faraday, que le escribió una carta pidiéndole que le explicara, con palabras sencillas, aquellos números y letras que no podía entender.
Pero además, Maxwell también contribuyó a la física estadística y fue el primer director del Laboratorio Cavendish, unido de manera indisoluble a la física de los siglos XIX y XX (y también al de biología molecular) con sede en Cambridge.
Su conjunto de ecuaciones de, o en, derivadas parciales rigen el comportamiento de un medio (el campo electromagnético) que él supuso “transportaba” las fuerzas eléctricas y magnéticas; ecuaciones que hoy se denominan “de Maxwell”. Con su teoría de campo electromagnético, o electrodinámica, Maxwell logró, además, unir electricidad, magnetismo y óptica. Las dos primeras, como manifestaciones de un mismo substrato físico, electromagnético, que se comporta como una onda, y la luz, que es ella misma, una onda electromagnética, lo que, en su tiempo, resultó sorprendente.
Más de ciento treinta años después, todavía se podía o se puede apreciar la excitación que sintió Maxwell cuando escribió en el artículo Sobre las líneas físicas de la fuerza, 1.861 – 62, en el que presentó esta idea: “Difícilmente podemos evitar la inferencia de que la luz consiste de ondulaciones transversales del mismo medio que es la causa de los fenómenos eléctricos y magnéticos.”

Todo aquello fue posible gracias a las bases sentadas por otros y a los trabajos de Faraday como experimentador infatigable, que publicaba sus resultados en artículos y los divulgaba en conferencias en la sede de la Royal Institution londinense. Todos estos artículos y conferencias fueron finalmente publicados en el libro que llamaron Philosophical transactions de la Royal Society, y Experimental researches in chemistry and physics (Richard Taylor y William Francis, Londres, 1.859; dos grandes científicos unidos por la historia de la ciencia que nos abrieron puertas cerradas que nos dejaron entrar al futuro).
No quiero seguir por este camino de personajes y sus obras ya que están enmarcados y recogidos en mi libreta (primera parte de personajes), así que desviaré mis pensamientos hacia otras diversas cuestiones de mi interés, y espero que también del vuestro. Antes dejaba la reseña de algún refrán o pensamiento sobre la amistad, y en realidad también podemos ver la cara amable de esta forma de sentimiento-aprecio-amor que llamamos amistad.

Nosotros, los seres humanos, nunca vemos a nuestros semejantes como objetos o cuerpos neutros, sino que los miramos como personas con una riqueza interior que refleja su estado de ánimo o forma de ser, y de cada uno de ellos nos llegan vibraciones que, sin poderlo evitar, nos transmiten atracción o rechazo (nos caen bien o nos caen mal).
Son muchos y diversos los signos sensoriales que, en silencio, nos llegan de los demás y son recogidos por nuestros sensores en una enorme gama de mensajes sensitivos que llamamos indistintamente simpatía, pasión, antipatía, odio, etc.
Está claro que cuando el sentimiento percibido es positivo, la satisfacción se produce por el mero hecho de estar junto a la persona que nos lo transmite, que con su sola presencia, nos está ofreciendo un regalo, y si apuramos mucho, a veces lo podríamos llamar incluso “alimento del alma”. Estar junto a quien nos agrada es siempre muy reconfortante, y según el grado de afinidad, amistad o amor, el sentimiento alcanzará un nivel de distinto valor.
Caigo en la cuenta de que, además de la materia, el espaciotiempo, y las fuerzas de la Naturaleza, aquí existe algo más que, está dentro de nuestras mentes y que, de momento, no podemos comprender. Sin embargo, si podemos sentir los sentimientos o la satisfacción que nos produce el el querer y poder amar, aprender y descubrir.
¡La Humanidad! ¿Quién la entiende?
emilio silvera
Ene
7
Mirando hacia atrás en el tiempo
por Emilio Silvera ~
Clasificado en El pasado ~
Comments (12)

Los orígenes del saber de la Humanidad están dispersos a lo largo y a lo ancho del mundo y también del tiempo. Civilizaciones pérdidas que poblaron nuestro planeta hace miles de años, dejaron algunas muestras de su grandeza que, muchos siglos después han sido desenterradas y estudiadas.

Hace ya muchos siglos que existieron ciudades modernas donde floreció la cultura, las artes, las letras, la medicina, las matemáticas y la astronomía. Hombres del pasado, pensadores de ingenio y visión futurista, pusieron los cimientos de lo que hoy llamamos el saber, el conocimiento de las cuestiones del mundo, de la Naturaleza y del Universo mismo.
Todo ello fue posible gracias a hechos dispersos y a la diversidad de pensamiento de los seres humanos, siempre curiosos y deseosos de saber, y, aquí, en este breve comentario, están recogidos algunos rumores del saber del mundo.
Está claro, al menos para mí, que sabiendo lo poco que sé sobre el Universo, sobre su final, que aunque a lo grande, es el mismo final que lo será para todo y para todos, al tomar las decisiones cotidianas que forman mi vida, de alguna manera, las tomo de forma diferente. Está claro para mí que, el Universo, además de materia, es espíritu, y algo flota en el cosmos que, aunque invisible, influye en todos nosotros.

Pero, echemos una mirada hacia atrás en el tiempo y observemos algunos hechos y personajes:
![]()
Pitágoras de Samos. 569 a.C. (Samos) 475 a.C. (Tarento).
Pitágoras era hijo de un comerciante griego, por lo que viajó mucho de niño, acompañando a su padre. No se conocen muchos detalles de su infancia, pero es seguro que recibió buena educación. En Mileto, Tales y Anaximandro lo introdujeron en el mundo de las Matemáticas y le recomendaron ir a Egipto para profundizar en su estudio, lo que hizo en el 535 a.C. Estudió en el templo de Dióspolis.
Allí fue hecho prisionero hacia el 525 a.C. y llevado a Babilonia, de donde regresaría a Samos hacia el 520 a.C. Al regreso, fundó una escuela que llamó El Semicírculo. Al cabo de dos años se trasladó a Crotona, en el sur de Italia, donde fundó una escuela filosófica y religiosa que tuvo muchos seguidores.
Las enseñanzas principales decían que la realidad era matemática y que el estudio puede llevar a la purificación espiritual y la unión con lo divino.
![]()
Creían que todo lo que existe son números y todas las relaciones podían reducirse a relaciones numéricas. Además, atribuían a cada número una propia personalidad (masculina o femenina, perfecta o incompleta, bella o fea).
Por ejemplo, el 10 era el número perfecto, pues contenía en sí mismo los cuatro primeros enteros (1+2+3+4=10).
La escuela exigía a sus miembros estricta lealtad y secretismo por lo que los conocimientos en Matemáticas producidos por ellos eran siempre atribuidos a Pitágoras, y no podemos saber qué descubrió él personalmente y qué se le atribuyó. Sin ir más lejos, el conocido teorema de Pitágoras no lo descubrió él, sino que ya era conocido por los babilonios mil años antes, aunque puede que él fuese el primero en demostrarlo.
El objeto de estudio de esta escuela no eran las Matemáticas tal como las pensamos hoy, sino desde una perspectiva más filosófica. Se preocupaban de los principios en que se basan las Matemáticas, el significado de los conceptos número o círculo, así como qué ha de entenderse por demostración (de un teorema por ejemplo).

Son varios los teoremas debidos a Pitágoras o, más genéricamente, a los pitagóricos: el que afirma que la suma de los ángulos de un triángulo es igual a dos ángulos rectos, o el teorema de Pitágoras, esto es, que un triángulo rectángulo, al cuadrado de la hipotenusa es igual a la suma de los cuadrados de los catetos.
También descubrieron los números irracionales -que no se pueden expresar como el cociente de dos enteros- y los cinco sólidos regulares: el tetraedro, el hexaedro o cubo, el octaedro, el dodecaedro y el icosaedro.
Aunque Pitágoras es uno de los matemáticos griegos más conocidos, a mí, no se porqué, me gusta más Euclides. Claro que, a cada acontecimiento o a cada personaje, hay que valorarlo dentro del contexto de su obra en su época, en su “tiempo”.
El lenguaje, las matemáticas, la escritura,… son las cosas que nos hicieron distintos, partiendo siempre de la base de que teníamos los sentidos y la mente que requerían aquellos logros que nos separaron de los demás animales.

Los vestigios del lenguaje
La lengua o el lenguaje, cuyos comienzos se limitan a sonidos guturales y sin sentido de aquellos primeros homínidos que, caminando ya erguidos, vivían más o menos en comunidad y, ello, les llevó, a inventarse un sistema arbitrario de signos que los miembros de una comunidad establecían por convención, con el fin de comunicarse, así fueron los principios del lenguaje que, en cada caso, en cada lugar, está relacionado con la psicología y antropología específica de los distintos pueblos, lo que llevó a que el lenguaje, tomado en su conjunto, sea multiforme y heteróclito, y conectado con lo físico-fisiológico-psíquico y dentro de un dominio individual y a la vez social.
El lenguaje hablado se quiso expresar mediante escritura, y, el comienzo, fueron dibujos, signos, jeroglíficos, etc., hasta alcanzar un alto nivel mediante las reglas inventadas para la escritura.

La importancia del lenguaje y la escritura para la humanidad no está bien valorada, pocos piensan en lo importante que fue el hecho ocurrido hace ya muchos miles de años, cuando aquel ser primitivo, pintó un animal en la pared de su cueva, allí, en aquel lugar, se dio el primer paso.
Mediante un conjunto de sonidos articulados podemos manifestar lo que pensamos y comunicarnos con los demás y, cada pueblo, tiene su propio lenguaje. Este hecho, el de distintas lenguas para cada región del mundo, expresa en realidad nuestro retraso en la evolución del lenguaje, cuyo futuro irreversible es el de una lengua común para todos que, de momento, sólo está conseguida en el ámbito de las matemáticas, un lenguaje mas avanzado y perfecto que el hablado y el escrito. Los números pueden seguir hablando cuando se acaban las palabras.
¿Qué sería de la Física sin las matemáticas? ¿Cómo se podrían explicar algunas cuestiones tan complejas que, las palabras, resultan insuficientes para expresarlas en toda su grandeza?

Antes os hacía un resumen de la vida y obra de Pitágoras y lo comparaba con Euclides, matemático griego de principios del siglo III a.de C. que, vivió en Alejandría (Egipto) durante el reinado del faraón helenista Tolomeo I Soler (325-283 a.C.) quien le encargó modernizar la geometría existente y dio lugar al trabajo que lleva por nombre: Los Elementos, compuesto de trece volúmenes.
En mi libreta sobre personajes, incluí a Euclides y dejé una larga reseña de sus logros pero, decir Euclides es como decir Geometría. Su Geometría prevaleció durante 2.000 años, hasta que llego Riemann.
De Georg Friedrich Bernard RIEMANN, también he hablado extensamente en bastantes de mis trabajos. La contribución de Riemann a las matemáticas es impagable, profesor en Gotinga donde se doctoró en 1.851 habiendo sido alumno de Dirichlet y Jacobi, Riemann, sin duda alguna, fue uno de los matemáticos más geniales del siglo XIX. Durante su corta carrera (murió de tuberculosis a los 39 años) hizo avanzar casí todos los campos, especialmente:
- El Análisis.
- La Teoría de números,
- La Geometría, y la
- Topología.
Riemann inventó una forma nueva de integración (la integral de Riemann) y aplicó la Geometría al cálculo de funciones de variables complejas, lo que le condujo al principio o concepto de superficie de Riemann y le ganó las alabanzas de Gauss.
También realizó importantes contribuciones a las ecuaciones diferenciales en derivados parciales, especialmente en su aplicación de la Física, e introdujo la función zeta de Riemann, que se utiliza en el estudio de los números primos.
Su logro principal fue la Geometría elíptica no euclidiana, que prescinde del quinto postulado de Euclides y lo sustituye por otro que afirma que por un punto exterior a una recta no pasa ninguna paralela a ella. En la famosa conferencia inaugural de Riemann en la que presentó su geometría, quedó sentado y reconocido por todos el enorme valor de las formas no euclidianas. Su geometría elípticas y de los espacios curvos, encontraría una insospechada aplicación, 60 años más tarde, en la Teoría de la Relatividad General de Einstein.
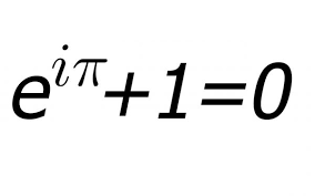
La mente humana, en el campo de las matemáticas ha conseguido avances asombrosos. Así sobre la marcha, me viene a la memoria numerosos descubrimientos en el campo del cálculo, y, como una muestra, se me ocurre lo que se conoce como: relación de Euler, una de las más importantes de las Matemáticas, que se expresa
Esta relación liga las cuatro constantes fundamentales de las Matemáticas: la de la aritmética (el 1), la de la Geometría (p), la del cálculo (el número e) y la del álgebra de números imaginarios (i; la raíz cuadrada de menos 1).
Euler desarrolló el cálculo de números complejos, demostrando que tiene infinitos logaritmos. También estudió las sumas de las series, introdujo los símbolos actuales para e, p y la unidad imaginaria, así como la notación f(x) para las funciones y la letra griega sigma mayúscula (å) para la suma de una serie. También le debemos la constante de Euler y la función gamma de Euler. En Geometría desarrolló la Geometría analítica y la Trigonometría.
![]()
Resolvió el problema de los puentes de Königsberg (demostrar que era imposible pasar por los siete puentes sin cruzar uno de ellos dos veces) y con ello creó la teoría de Grafos. Estudió los poliedros simples y descubrió la igualdad fundamental caras+vértices=aristas+z.
Euler aplicó el cálculo a la Mecánica y la Astronomía.
Leonardo Euler (Leonhard), nació en Basilea en 1.707 y murió en San Petersburgo, en 1.783. Un matemático suizo al que, igual que a Riemann, debemos mucho.
Otro matemático por el que siento una profunda admiración es por Srinivasa RAMANUJAN (Erode, 1.887-Kumbakonam, 1920.) Matemático indio que, desde una oscura oficina en el puerto de Madrás (donde se ganaba la vida), su amor por las matemáticas para las que demostró tener un don natural, demostrando tener conocimientos asombrosos, casi todos obtenidos de forma autodidacta, llamó la atención del matemático inglés Godfreny Hardy, quien tras leer una carta de Ramanujan, le consiguió una beca en Madrás y otra en Cambridge.
En 1.914 viajo a Inglaterra, donde vivió cinco años. Ramanujan era un genio de las matemáticas. Hizo avanzar la Teoría de Números, las fracciones continuas y el cálculo de series divergentes, y dedujo por sí mismo casi todos los avances del siglo XIX, como las series de Riemann y las integrales elípticas. Se interesó mucho por el número p. Construyo una serie cuya suma está relacionada con él, y desarrolló algoritmos que han permitido obtenerlo con millones de cifras exactas.

En 1.917, fue nombrado miembro de la Royal Society de Londres.
Después de su muerte, aparecieron los que llamaron Los cuadernos perdidos de Ramanujan, cuyo contenido y funciones modulares aún están siendo estudiados por expertos matemáticos.

Cuando aparecieron las libretas, los expertos encargados de revisarlas, comentaron: “Aquí está el trabajo que Ramanujan ha realizado, el último año de su vida mientras se estaba muriendo, y, sólo es comparable, al trabajo que varios de los mejores matemáticos podrían haber realizado durante toda sus vidas”.
¡Valiente personaje, Ramanujan!
¿Cómo he llegado hasta aquí? ¡No tengo ni idea!

La verdad es que, he comenzado éste trabajo sin tener una idea predeterminada de lo que trataría, me he dejado llevar, y de plasmar unos sueltos y curiosidades (por llamarlos de alguna manera), me he metido en éste monólogo de matemáticos y sobre el lenguaje que, en realidad, están ordenados por mi parte libre de la mente que, sin yo saberlo, dirige mi pluma sobre los temas que allí están rondando.
No han sido nombrados eminentes personajes de las matemáticas, como por ejemplo, Newton, ya que, como he dicho antes, no es ese el objeto de este trabajo que, según parece, girará y tratará de temas diversos y dispersos que, en mi cabeza, aparezcan sin más.
Creo que el conocimiento evoluciona por sí mismo, es imparable, avanza junto con el tiempo que siempre está presente en todo. Las cosas hoy son de una manera y, mañana, lo serán de otra, nada se queda impasible, todo cambia, y, los conocimientos, no son una excepción, su cambio es progresivo y exponencial.
Estamos tratando de dominar la fusión para obtener energía, enviando misiones espaciales a otros mundos del Sistema Solar e, incluso, más allá, construimos aceleradores de partículas de avanzada tecnología y, sin embargo, si miramos atrás podemos quedar sorprendidos de lo que hicimos.
Si estudiamos las creencias y prácticas de las religiones antiguas, el sacrificio, tanto de animales como de humanos e, incluso, de reyes, es sin duda lo más asombroso desde mi punto de vista, denota hasta que punto, aquellos cerebros, eran aún irracionales.

La mitología fija en Knossos la residencia del rey Minos que mandó a Dédalo construir el laberinto donde se encerraba al Minotauro, un ser monstruoso, mitad hombre y mitad toro, que se alimentaba de carne humana. Cada nueve años, a fin de apaciguarlo, Minos le ofrecía a la bestia siete mujeres y siete varones jóvenes que tenía que proporcionar Atenas como tributo.

En 1.900, sir Arthur Evans, descubrió en Creta unas ruinas que, más tarde, se pudo saber pertenecerían al complejo de knossos que se remonta al año 2.000 a.de C., era el principal centro de la civilización minoica, adoradora del toro, y, en 1.975, el Arqueólogo británico Peter Warren, excavó un pequeño edificio de aquel conjunto. El edificio desenterrado por Warren había sido víctima de algún terremoto, lo que hacía más difícil, “leer” sus vestigios.
A pesar de las dificultades, encontraron huesos de cuatro niños menores de doce años que, según todas las señales encontrados, habían sido sacrificados.

Cuando examinamos los orígenes de la religión y creencias en las pinturas de las cuevas y las figurillas de Venus del Paleolítico y, luego, en el culto a la Gran Diosa y el Toro, o se encuentran huellas de sacrificio. Sin embargo, para la época en que surgen las primeras grandes civilizaciones, en Sumeria, Egipto, Mohenjo-Daro y China, la práctica de sacrificios estaba muy difundida y se ha demostrado muy duradera. En algunas partes de la India los sacrificios Humanos* fueron abolidos en el siglo XIX. El sacrificio se originó en una época en la que el hombre veía todo lo que rodeaba (incluso las rocas, los ríos y las montañas) como una forma de vida. Quizá más importante todavía es el hecho de que el sacrificio se remonte a una era en la que los ritmos del mundo se observaban pero no se comprendían. La noción misma de la periodicidad, algo mágico para ellos, fue lo que sirvió como base para la religión, que trataba a estos patrones naturales como expresión de fuerzas misteriosas.
Es interesante estudiar las distintas tendencias religiosas y del pensamiento. Zaratustra por ejemplo, fue el origen de la invención de la moralidad. Zaratustra imaginó tres tipos de alma: el urbany (la parte del individuo que sobre vive a la muerte corporal), el fravashi (que vive en la tierra desde el momento de su muerte), y, el daena (la conciencia). En cualquier caso, es muy probable que el zoroastrismo haya sido el conjunto de ideas fundamental a partir del cual tomaron forma las principales religiones del mundo que conocemos hoy.
La sociedad a la cual Zaratrustera expuso sus ideas era un pueblo que veneraba el fuego y rendía culto a los dioses ancestrales de la tierra y el cielo, así como a una multitud de daevas, espíritus y demonios. Quienes practicaban el zoroastrismo creían que Zaratustra había recibido una revelación directa del único dios verdadero, Ahura Mazda.

Ahura Mazda fue el padre de dos gemelos, Spenta Mainyu, el Buen Espiritu, y Angra Mainyu, el Espiritu Destructivo. Estos gemelos eligieron, respectivamente, el Asha, la justicia, y el Drug, el engaño.
Zaratustra se refirió a sí mismo en diversas ocasiones como un “salvador” y ello contribuyó a dar forma a su idea del cielo y del alma. En aquella época se creía que sólo los sacerdotes y los aristócratas tenían almas inmortales para poder ir al cielo, el resto, eran enviados al infierno.
Zaratustra, muy listo él, sabía que sacerdotes y aristócratas eran muy pocos, así que desafió todas aquellas ideas y prometió el cielo para todos, prohibió el sacrificio y el culto sacerdotal del haoma, que quizá haya sido una planta alucinógena relacionada con el soma que mencionan las escrituras hindúes, y posiblemente cannabis que, según todos los indicios, también consumía el mismo Zaratustra.

Buda no era un dios y tampoco fue en realidad un profeta. Pero la forma de vida que defendió fue consecuencia de su descontento frente al desarrollo de una nueva clase mercantil en las ciudades, caracterizada por el materialismo y la codicia (¡si viniera ahora!), y también frente al clero local, con su obsesión por los sacrificios y la tradición. Su respuesta a todo ello fue pedir a los hombres:
Que miraran en su interior en búsqueda de un propósito más alto en la vida.

Siddharta Gautama era, según se cuenta, un pesimista, inclinado por instinto a mirar siempre los aspectos más lúgubres de la existencia. La vida de Siddharta Gautama, el buda, no está bien documentada como la de los profetas israelitas, se escribieron biografías, pero la más antigua fue redactada en el siglo III d.C., y aunque se basaba en un relato anterior, escrito cien años después de su muerte en 483 a.C., ese texto se ha perdido.
De todas maneras, parece ser que Gautama tenía veintinueve años cuando, 530 a.C., repentinamente abandonó a su esposa, a su hijo y a su acomodada familia y emprendió un viaje en búsqueda de iluminación. Había apodado a su hijo RAHULA, lo que significa “grilletes”, lo que es una muestra inequívoca de que Gautama se sentía atado a una forma de vida que le parecía aborrecible. Anhelaba una vida más espiritual y pura, así que, como muchos hombres santos de la época, dio la espalda a la familia y posesiones, se puso el vestido amarillo de un itinerante y vivió mendigando.
Bueno, hay gente para todo……, que puedo decir.
Buda “creía” en la idea de que la realidad última está más allá de los dioses. Él creía que toda la vida era dukkha, sufrimientos, cambio constante, y que el drama, “la verdad sobre la vida recta”, lo llevaba al nirvana, la última realidad, la liberación del dolor. Los dioses, según comprendió Buda, no estaban presentes en este mundo. El estado de nirvana era natural para la humanidad, solo se necesitaba saber como mirar. Gautama afirmaba que no había “inventado” este acercamiento, sino que lo había “descubierto”, y que, por tanto, otras personas también podían hacerlo mirando en su interior.

Socrates, un gran pensador en la Historia de la Humanidad
Hay personajes de la Historia de la Humanidad que, con sus comportamientos y formas de vida, han marcado un camino a seguir para muchos y, ello, qué duda nos puede caber, también, de alguna manera, cambió el rumbo de la Humanidad. Ya conocemos los pensamientos dejados por los clásicos: Sócrates, Platon, Tales, Aristóteles y tantos otros hasta que llegó Cristo.
También Mahoma, por méritos propios, tiene su lugar importante en esa Historia.
Mi creencia particular sobre religiones, es más la de una atento observador del comportamiento humano que, la de un creyente, y, estimo que, muchos espabilados, han montado un tinglado enorme sobre las ideas de hombres buenos pero, sin creer en ellas. Sólo hay que echar un vistazo a la Historia.
emilio silvera
Sep
19
¡Qué cosas! ¿Sabremos alguna vez?
por Emilio Silvera ~
Clasificado en El pasado ~
Comments (1)
Sí, el rastro, las huellas del pasado están presentes en todo lo que podamos observar en el Universo. La chica examina esa gran Nebulosa que llamamos Orión, y, ella sabe de su procedencia y origen, dado que se formó en una gran explosión Supernova que regó el Espacio Interestelar de materia para que, a partir de ella, surgieran nuevas estrellas y nuevos mundos, y, con una alta probabilidad, nuevas formas de vida.

Dicen que el Pasado es Historia, el Futuro un misterio, pero el hoy es un regalo, por eso le llamamos PRESENTE. Lo que pasó siempre deja rastros que nos cuentan la historia, lo que hacemos hoy son los cimientos del futuro que vendrá.
Bueno, en cierta manera sí. El Universo tiene y conserva (como ocurre en la Tierra), las reliquias de su pasado. A lo largo y a la ancho del Cosmos podemos encontrar muestras de objetos que nos cuentan lo que antes pasó en el Universo. Una supernova es el momento de la explosión de una estrella masiva, debido a que la presión para mantener todos los átomos nucleares es insostenible. “La simetría es la armonía de posición de las partes o puntos similares unos respecto de otros, y con referencia a un punto, línea o plano determinado. Una estrella tiene forma esférica, por lo tanto se espera que si la explosión es en todas las direcciones, su remanente también presente la misma apariencia simétrica. Sin embargo los remanentes de las supernovas no son simétricos. Una posible causa de asimetría en remanentes de supernovas consiste en la variación de masas de los elementos de la estrella.
Dentro del remanente del Canfrejo, cuando profundizamos un poco, podemos descubrir con asombro, como un objeto de inmensa energía magnética, gira y gira de manera frenética. De hecho, en la Nebulosa del Cangrejo (también conocida como M1, NGC 1952, Taurus A … En su centro vive un púlsar, denominado PSR0531+121, que gira sobre sí …. entre 28 y 30 kilómetros; emite pulsos de radiación cada 33 milisegundos. … Se trata de uno de los escasos remanentes de supernova que pueden …
Los restos de una estrella que explotó hace casi mil años forman la nebulosa del Cangrejo, una de los objetos más bellos del cielo y cuyos filamentos de plasma son estudiados por los Astronómos que, de esta manera, llegan a comprender la evolución de la marteria a partir de los sucesos más energéticos del Universo.

Si observamos el Universo como un todo, podemos localizar que en él se manifiestan correlaciones bien afinadas que desafían todo lo que nos dicta nuestro sentido común. Unas de esas correlaciones pueden estar situadas en el nivel cuántico, donde, cada partícula que haya ocupado alguna vez el mismo nivel cuántico de otra partícula permanece relacionada con ella, de una misteriosa manera no energética.
Sabemos que, la teoría de la evolución post-darwiniana y la biología cuántica descubren enigmáticas correlaciones similares en el organismo y entre el organismo y su entorno. Todas las correlaciones que salen a la luz en las investigaciones más avanzadas sobre la conciencia vienen a resultar igual de extrañas: tienen la forma de conexiones temporales entre la conciencia de una persona y el cuerpo de otra. Al parecer, las redes de conexiones que constituyen un Cosmos Evolutivo Coherente, para el enmarañamiento cuántico, para la conexión instantánea entre organismos y entornos y entre las conciencias entre distintos e incluso distantes seres humanos, tienen una única explicación, que es la misma en todos los casos.

La mayor parte de las neuronas posee una estructura arbórea formada en su mayor parte por dendritas que, conectadas a otras neuronas, se encargan de recibir y enviar información mediante conexiones sin fin. Esta obra de la Naturaleza, no siempre tiene explicación para nosotros, los humanos, tan ignorantes aún. Muchas veces hemos dicho aquí que a partir de la “materia inerte” llegamos a los pensamientos.
¿Será posible que, además de materia y energía, en el Universo pueda existir algún otro elemento muy sutil, aunque no por eso menos real: información en forma de “in-formación” activa y efectiva que puede conectar todas las cosas presentes en el espacio-tiempo, de manera tal que, exista una especie de memoria en el Universo que, cuando ahondamos en la observación y el estudio, allí se nos aparece y la podemos “ver” tan real como podemos ver a las estrellas.
Algunos dicen que; “Las interacciones en los dominios de la Naturaleza, así como en los de la Mente, están medidas por un campo fundamental de información en el corazón del Universo”. Así, todo el Universo es un contenedor de información dinámico que evoluciona y acumula más información a medida que el tiempo transcurre y su dinámica “viva” no deja de crear para que nada permaneza y todo se transforme.

La Nebulosa de Orión (cuyo material una vez, formó parte de una estrella masiva) y, se trata de una enorme nube de turbulencia del gas, con una formación de hidrógeno, que es iluminada por brillantes estrellas jóvenes y calientes, incluyendo una estrella llamada Trapezium, que están en vías de desarrollo dentro de la nebulosa. Esa es la dinámica a que antes me refería y que, en el Universo está presente de mil formas distintas.
Pero claro, el Universo es grande y complejo, muchas son las cosas que de él desconocemos, y, si nos preguntamos, por ejemplo, ¿qué es el vacío cuántico? podemos responder conforme a la información que actualmente tenemos pero, ¿es la respuesta la adecuada?
El concepto de espacio-tiempo como medio físico lleno de energía virtual fue emergiendo gradualmente a lo largo del siglo XX. Al comienzo del siglo se pensaba que el espacio estaba ocupado por un campo energético invisible que producía rozamiento cuando los cuerpos se movían a través de él y ralentizaba su movimiento. Todos conocemos eso como la Teoría del Éter Lumínico o Luminífero. Cuando ese rozamiento no se pudo detectar con el experimento de Michelson-Morley, el éter quedó rechazado de la imagen del mundo físico. Sin embargo, se cree que algo permea todo el espacio.

Sus genios quedaron atrás, ahora el mundo necesita nuevos caminos, nuevos conceptos, nuevas energías. ¿Podrán, algún día, las energías llamadas de Punto Cero, suplir a estas otras de origen fósil que se agotaran en unas pocas décadas? Claro que las cosas no siempre son lo que parecen y, lo único que necesitamos es la capacidad intelectual para saber “ver” lo que hay. Siempre ha pasado igual, hemos creado teorías que más tarde, cuando se adquirieron nuevos conocimientos, tuvieron que ser desechadas y tomar las nuevas que nos decían otra realidad de cómo funcionaba la Naturaleza.

El vacío perfecto no existe… ¡Siempre hay!
Hace tiempo que se llegó a demostrar que, el vacío cósmico estaba lejos de ser espacio vacío. En las Teorías de Gran Unificación (GUT) que fueron desarrolladas durante la segunda mitad de ese siglo XX, el concepto de vacío se transformó a partir del espacio vacío en el medio que transporta el campo de energías de punto cero que, son energías de campo que han demostrado estar presentes incluso cuando todaqs las formas clásicas de energía desaparecen: en el cero absoluto de temperatura. En las teorías unificadas subsiguientes, las raíces de todos los campos y las fuerzas quedan adscritas a ese mar de energía misterioso denominado “vacío unificado”.

Allá por los años sesenta, Paul Dirac demostró que las fluctuiaciones en los campos fermiónicos producían una polarización de vacío, mediante la cual, el vacío afectaba a la masa de las partículas, a su carga, al spin o al momento angular. Esta es una idea revolucionaria, ya que, en este concepto el vacío es más que el continuo tetradimensional de la Teoría de la Relatividad: no es sólo la geometría del espacio-tiempo, sino un campo físico real que produce efectos físicos reales.
La interpretación física del vacío en términos del campo de punto cero fue reforzada en los años 70 , cuandoPaul Davis y William Unruth propusieron la hiótesis que diferenciaba entre el movimiento uniforme y el acelerado en los campos de energía de punto cero. El movimiento uniforme no perturbaría el ZPF, dejándolo isotrópico (igual en todas las direcciones), mientras que el movimiento acelerado produciría una radiación térmica que rompería la simetria en todas las direcciones del campo. Así quedó demostrado durante la década de los 90 mediante numerosas investigaciones que fueron mucho más allá de la “clásica” fuerza Casimir y del Desplazamiento de Lamb, que han sido investigados y reconocidos muy rigurosamente.

De las Placas Casimir ¿que podemos decir? es bien conocido por todos que dos placas de metal colocadas muy cerca, se excluyen algunas longitudes de onda de las energías del vacío. Este fenómeno, que parece cosa de magia, es conocido como la fuerza de Casimir. Ésta ha sido bien documentada por medio de experimentos. Su causa está en el corazón de la física cuántica: el espacio aparentemente vacío no lo está en realidad, sino que contiene partículas virtuales asociadas con las fluctuaciones de campos electromagnéticos. Estas partículas empujan las placas desde el exterior hacia el interior, y también desde el interior hacia el exterior. Sin embargo, sólo las partículas virtuales de las longitudes de onda más cortas pueden encajar en el espacio entre las placas, de manera que la presión hacia el exterior es ligeramente menor que la presión hacia el interior. El resultado es que las placas son forzadas a unirse.
También aparecen otros efectos, algunos científicos han postulado que la fuerza inercial, la fuerza gravitatoria e incluso la masa eran consecuencia de interacción de partículas cargadas con el ZPF. Es todo tan misterioso.
Debido a que el Universo es finito, en los puntos críticos dimensionales, las ondas se superponen y crean ondas estacionarias duraderas. Las ondas determinan interacciones físicas fijando el valor de la fuerza Gravitatoria, la Electromagnética, y las fuerzas nucleares Débil y Fuerte. Estas son las responsables de la distribución de la materia a través del Cosmos pero, a quién o a qué responsabilizamos de esa otra clase (hipotética) de materia que, al parecer está por ahí oculta. ¿Tendrá, finalmente el vacío algo que ver con ella?

El Observatorio de rayos X Chandra, el tercero de los grandes observatorios de la NASA, ha descubierto un excepcional objeto según la página web de la propia NASA, y, de la misma manera, hay descubrimientos recientes que confirman la presencia de ondas de presión en el vacío. Utilizando el Observfatorio de rayos X Chandra, los Astrónomos han encontrado una onda generada por el agujero negro supermasivo en Perseus, a 250 millones de años luz de la Tierra. Esta onda de presión se traduce en la onda musical Si menor. Se trata de una nota real, que ha estado viajando por el espacio durante los últimos 2.500 millones de años. Nuestro oído no puede percibirla, porque su frecuencia es 57 octavas más baja que el Do medio, más de un millón de veces más grande de lo que la audición del hombre puede percibir.
Los siete colores del Arco Iris: Rojo, Naranja, Amarillo, Verde, Azul, Añil y Violeta. El arco iris es un fenómeno óptico y meteorológico que produce la aparición de un espectro de frecuencias de luz continuo en el cielo cuando los rayos del sol atraviesan pequeñas gotas de agua contenidas en la atmósfera terrestre.

Recuerdos de la niñez y los Siete pecados capitales: Lujuria, Gula, Avaricia, Pereza, Ira, Envidia, Soberbia. Los siete pecados capitales son una clasificación de los vicios mencionados en las primeras enseñanzas del cristianismo para educar a sus seguidores acerca de la moral cristiana. En los colegios de entonces, nos predicaban estas cosas que, como suele ocurrir, cuando de niño te machacan una y otra vez con estos cánticos… ¡Set te quedan grabados!

Las Siete notas musicales: Do, Re, Mi, Fa, Sol, La y Si Los nombres de las notas musicales se derivan del poema Ut queant laxis del monje benedictino friulano Pablo el Diácono, específicamente de las sílabas iniciales del Himno a San Juan Bautista. Las frases de este himno, en latín, son así: Ut queant laxis/Resonare…

Se dijo que Dios creó el mundo en siete días: Lunes, Martes, Miércoles, Jueves, Viernes, Sábado y Domingo. Los siete cuerpos celestes que dieron lugar a estos nombres fueron la Luna, Marte, Mercurio, Júpiter, Venus, Saturno y el Sol. En español, sábado procede de la fiesta hebrea “Sabbat” y domingo de la palabra latina “Dominus”, el señor… Como pòdéis ver, el pasado siempre estará con nosotros. Incluso el nombre de algunas constelaciones provienen del pasado, de otras civilizaciones que dejaron señalado el camino. Siempre ha sido así y lo seguirá siendo.

Las sumas de las caras opuestas de un Dado, siempre es igual a Siete: 1+6; 2+5; 3+4

También decimos que un gato tiene Siete vidas: En el mundo hispano hablante se dice que los gatos tienen siete vidas. La creencia en las siete vidas del gato tiene un origen tanto supersticioso como esotérico. No cabe duda de que la excepcional resistencia del gato, su capacidad de salir indemne ante las situaciones más complicadas.
Muchas más serían las cosas relacionadas con el Número Siete. De todas las maneras, ¡cómo somos los humanos! a todo le tenemos que sacar punta… Lo dicho, nuestra curiosidad que nos lleva en volandas hacia la Casa de la Sabiduría que, ¡está en tántos lugares! ¡Ah! Sin olvidar la gran imaginación que nos adorna.
emilio silvera
May
30
¿La Realidad? ¿Dónde estará?
por Emilio Silvera ~
Clasificado en El pasado ~
Comments (0)

No una sino mil veces podemos haber podido hablar del “milagro griego”. La hipótesis es la siguiente: La Ciencia nació en la antigua Grecia alrededor del año 600 a. C. y floreció durante unos pocos cientos de años, aproximadamente 146 a. C., cuando los griegos cedieron su primacía a los romanos y la ciencia se frenó en seco, permaneció en letargo hasta que resucitó en Europa durante el Renacimiento alrededor de 1500. Y, no pocos creen a pie juntillas que eso fue así y que, las personas que habitaron la India, Egipto, Mesopotamia, el África Subsahariana, China, el Continente americano y algún otro lugar con anterioridad al año 600 a. C. no dirigieron el desarrollo de la Ciencia. Cuando descubrieron el fuego, se quedaron esperando tranquilamente a que Tales de Mileto, Pitágoras, Demócrito y Aristóteles inventaran la Ciencia en el Egeo.
Claro que, tal pensamiento es una auténtica barbaridad, pensar eso es un sin sentido. ¿Cómo durante más de mil quinientos años, el final del período griego hasta la época de Copérnico, no se produjo avance alguna en la Ciencia? Esto quiere decir que ninguna persona, en ninguna parte, demostró la capacidad o el interés necesario para proseguir insistiendo en las obras de Arquímedes, Euclides o Apolonio.

Lo cierto es que da mucha pena comprobar como el paso del tiempo hace desaparecer aquellas culturas
Las primeras observaciones sobre fenómenos eléctricos se realizaron ya en la antigua Grecia, cuando el filósofo Tales de Mileto (640-546 a.C.) comprobó que, al frotar barras de ambar contra pieles curtidas, se producía en ellas características de atracción que antes no poseían. Es el mismo experimento que se puede hacer frotando una barra de plástico con un paño; acercándola luego a pequeños pedazos de papel, los atrae hacia sí, como es característico en los cuerpos electrizados.
Sin embargo, fue el filósofo griego Theophrastus (374-287 a.C.) el primero, que en un tratado escrito tres siglos después, estableció que otras sustancias tienen mismo poder, dejando así constancia del primer estudio científico sobre la electricidad. Comprobando que no todos los materiales pueden adquirir tal propiedad o adquirirla en igual medida. Se atraen, por ejemplo, una barra de vidrio y otra de ebonita. Se repelen, sin embargo, dos barras de vidrio o dos de ebonita.
Gradas y restos del edificio de la escena del teatro de Mileto. Mileto (en cario: Anactoria; en hitita: Milawata o Millawanda; en griego antiguo Μίλητος Mílêtos; en turco: Milet) fue una antigua ciudad griega de la costa occidental de Anatolia (en la actual provincia de Aydın de Turquía), cerca de la desembocadura del río Meandro en la antigua Caria. El emplazamiento estuvo habitado desde la Edad del Bronce.

Aquellos ”científicos” se reunieron en Mileto. Tales, Anaximandro y Anaxímenes hicieron observaciones astronómicas con el gnomon, diseñaron cartas naúticas, plantearon hipótesis más o menos relacionadas con los hechos observados referidas a la estructura de la Tierra, la naturaleza de los planetas y las estrellas, las leyes seguidas por los astros en sus movimientos. En Mileto, la ciencia, entendida interpretación racional de las observaciones, aparece que dio los primeros pasos
Claro que, las cosas nunca suelen ser tan sencillas. La hipótesis según la cual la ciencia surgió por generación espontánea en suelo griego y desaparecido después hasta el Renacimiento parece ridícula cuando se expresa de sucinta, sin más explicaciones. Es una idea que se formuló por primera vez en Alemania hace unos 150 años y que, poco a poco, ha ido calando, sutilmente en nuestras consciencias a través de la educación que, la única concesión que se hace a las culturas no europeas es la que se refiere al Islam. Esta teoría dice que los árabes conservaron viva la cultura griega, incluida la ciencia, durante toda la Edad Media. Ejercieron de escribas, traductores y guardianes, sin pensar, aparentemente, en crear su propia ciencia.

Al Sur de la puerta de Almodóvar de Córdoba, se levanta la estátua de Averroes. Jurista, médico, filósofo. El gran Averroes fue la máxima autoridad judicial de la época,(siglo XII). Fue acusado por los fundamentalistas de poner la razón humana por encima de la ley divina. La mirada del viejo filósofo se pierde las callejas mientras escucha el murmullo del agua del estanque junto al que reposa.
Nada de eso es cierto. De hecho, los eruditos islámicos admiraron y preservaron las matemáticas y la ciencia griega y actuaron como el hilo conductor de la ciencia de muchas culturas no occidentales, además de construir un edifcio propio impresionante en el campo de las ciencias. Lo cierto es que, la ciencia occidental es lo que es porque se construyó acertadamente sobre las mejores ideas de los distintos pueblos, los mejores e incluso, los mejores aparatos procedentes de otras culturas. Por ejmplo, los babilonios desarrollaron el teorema de Pitágoras (la suma de los cuadrados de los dos lados perpendiculares de un triángulo rectángulo es igual al cuadrado de la hipotenusa) al menos mil quinientos años antes de que Pitágoras naciera.


En el año 200 d. C., el matemático chino Liu Hui calculó para el π un valor (3,1416) que se mantuvo como la estimación más precisa de dicho número durante unos mil años. Nuestras cifras del 0 al 9, se inventaron en la antigua India, siendo las cifras de Gwalior del año 500 d. C. casi indistinguibles de las cifras occidentales modernas. Álgebra es una palabra árabe que significa “obligación”, como cuando se obliga a que la incógnita x tome un valor numérico.
Arabia es una región de Oriente Medio del desierto comprendido entre el mar Rojo y el océano Índico. el punto de vista histórico, esta región era conocida también como la cuna de una de las principales religiones del mundo, el Islam. Nacida en el siglo VII, esta religión había establecido importantes cambios en la configuración de mandato, los derechos económicos y principios culturales del mundo árabe. Sin embargo, pocos saben de su cultura y de la importante contribución que hicieron a la Ciencia (Astronomía, Medicina, Matemáticas…)

China, Babilonia y también el Islam. El Califa árabe al-Mamun hizo construir la ciudad de la Sabiduría y un Observatorio para que los astrónomos pudieron abservar las variantes de los parámetros astronómicos (obtenidos de los griegos) y las estrellas del cielo. Aportaron así la mayor contribución y uno de los valores más exactos de de la precesión de los equinoccios, la inclinación de la eclíptica y otros de este tipo. En el año 829 sus cuadrantes y sextantes eran mayores que los que construyó Tycho Brahe en Europa más de siete siglos después.
Como antes decía, en el siglo IX, el gran mecenas de la ciencia el califa abasí al-Mamun, reunió a varios astrónomos en Bagdad crear la casa de la Sabiduría (Bait al-Hikmah). Allí los astrónomos llevaron a cabo observaciones del Sol y de la Luna, con el fin de determina la latitud y la longitud locales para fijar la gibla. Recopilaron algunos de los mejores resultados de un zij titulado “Lo Comprobado” (al-Mumtahan).
Al-Biruni desarrolló técnicas para medir la Tierra y las distancias sobre ella utilizando la triangulación. Descubrió que el radio de la Tierra era 6.339,6 Kilómetros, un valor que no se obtuvo en Occidente hasta el siglo XVI. Uno de sus zijs contiene una tabla que da las coordenadas de seiscientos lugares, casi todos conocidos por él directamente.

En el año 499, Aryabhata escribió un pequeño volumen, Aryabhatuya, de 123 versos métricos, que se ocupaban de astronomía y (una tercera parte) de ganitapada o matemáticas. En la segunda mitad de esta obra, en la que habla del tiempo y la trigonometría esférica, Aryabhata utiliza una frase, en la que se refiere a los números empleados en el cálculo, “ lugar es diez veces el lugar precedente”. El valor posicional había sido un componente esencial de la numeración babilónica, pero los babilonios no empleaban un sistema decimal.

La fuerza de gravedad mantiene unidas las estrellas, estas a las galaxias, las galaxias sí, y, los mundos a las estrellas que orbitan, mientras nosotros, nos sentidos atraidos por la gravedad que genera el mundo que habitamos que mantiene nuestros pies unidos a la superficie impidiendo que flotemos sin control. (Tengo la suerte de que, Ken Crawford (Rancho Del Sol Obs.), me envíe imágenes la de arriba).
Veinticinco siglos antes de Isaac Newton, el Rog-Veda hindú afirmaba que la gravitación hace que el universo se mantenga unido, aunque hipótesis era mucho menos rigurosa que la de Newton, en esencia, quería decir lo mismo que él dijo.

Los arios de lengua sánscrita suscribieron la idea de que la Tierra era redonda en una época en que los griegos creían que era plana. Los hindúes del siglo V d. C. calcularon de algún modo la edad de la Tierra, cifrándola en 4.300 millones de años; los científicos ingleses del siglo XIX estaban convencidos de que la Tierra tenía 100 millones de años. Algunos expertos chinos del siglo IV d. C. -como los árabes del s. XIII y los papúes de Nueva Guinea posteriormente- adoptaron la rutina de utilizr fósiles estudiar la historia del planeta, sin embargo, en el siglo XVII algunos miembros de la Universidad de Oxford seguían enseñando que los fósiles eran “pistas falsas sembradas por el diablo” para engañar a los hombres.
¡Que cosas!
Con todo esto, os quiero decir amigos míos que, cuando oímos hablar de la primacía europea con respecto a las Ciencias…, debemos dejar el comentario en cuarentena y, dedicar un tiempo a profundizar más en cómo fueron las cosas en la realidad. No siempre las cosas son parecen, o, como nos las quieren presentar.

Mucho antes de que llegaran los científicos modernos, en tiempos del pasado muy lejano, otras culturas de filósofos naturales ya hablaban del átomo y del vacío. Ellos supieron intuir que había una materia cósmica y que todo lo grande estaba hecho de pequeñas cosas. Los pensadores de aquellos lugares eran anacoretas encerrados en un misticismo que los unía a la Naturaleza y a ese otro mundo de los pensamientos que están situados más allá de lo material. Ellos ya se preguntaban por…:
¡Tántas cosas!
Claro que, si no fuera tan largo de contar, os diría que, en realidad, el Higgs se descubrió hace ya muchos siglos en la antigua India, con el nombre de maya, que sugiere la idea de un velo de ilusión para dar peso a los objetos del mundo material. Pocos conocen que, los hindúes fueron los que más se acercaron a las ideas modernas sobre el átomo, la física cuántica y otras teorías actuales. Ellos desarrollaron muy temprano sólidas teorías atomistas sobre la materia. Posiblemente, el pensamiento atomista griega recibió las influencias del pensamiento de los hindúes a través de las civilizaciones persas. El Rig-Veda, que data de alguna situada entre el 2000 y el 1500 a. C., es el primer texto hindú en el que se exponen unas ideas que pueden considerarse leyes naturales universales. La ley cósmica está realcionada con la luz cósmica.
El Rig-Veda, que data de alguna fecha situada el año 2000 y 1500 a. C., es el primer texto hundú en el cual se exponen unas ideas que pueden considerarse …
Anteriores a los primeros Upanishads tenemos en la India la creación de los Vedas, visiones poéticas y espirituales en las que la imaginación humana ve la Naturaleza y la expresa en creación poética, y después va avanzando unidades más intensamente reales que espirituales llegar al Brahmán único de los Upanishads.
la época de Buda (500 a, C.), los Upanishad, escritos un período de varios siglos, mencionaban el concepto de svabhava, definido “la naturaleza inherente de los distintos materiales”; es decir, su eficacia causal única, , tal como la combustión en el caso del fuego, o el hecho de fluir abajo en el caso dela agua. El pensador Jainí Bunaratna nos dijo: “Todo lo que existe ha llegado a existir por acción de la svabhava. Así… la tierra se transforma en una vasija y no en paño… A partir de los hilos se produce el paño y no la vasija”.

Tambiénm aquellos pensadores, manejaron el concepto de yadrccha, o azar tiempos muy remotos. Implicaba la falta de orden y la aleatoriedad de la causalidad. Ambos conceptos se sumaron a la afirmación del griego Demócrito medio siglo más tarde: “Todo lo que hay en el universo es fruto del azar y la necesidad”. El ejemplo que que dio Demócrito -similar al de los hilos del paño- fue que, toda la materia que existe, está formada por a-tomos o átomos.
Bueno, no lo puedo evitar, mi imaginación se desboca y corre rápida por los diversos pensamientos que por la mente pasan, de uno se traslada a otros y, al final, todo resulta un conglomerado de ideas que, en realidad, quieren explicar, dentro de esa diversidad, la misma cosa.
emilio silvera
















Totales: 87.548.182
Conectados: 63

























