Mar
25
La vida de las partículas
por Emilio Silvera ~
Clasificado en Física Cuántica ~
Comments (1)
La Mente: Ese misterio

La mente humana es tan compleja que no todos ante la misma cosa vemos lo mismo. Nos enseñan figuras y dibujos y nos piden que digamos (sin pensarlo) la primera cosa que nos sugiere. De entre diez personas, sólo coinciden tres, los otros siete divergen en la apreciación de lo que el dibujo o la figura les sugiere. Un paisaje puede ser descrito de muy distintas maneras según quién lo pueda contar.

Solo el 1% de las formas de vida que han vivido en la Tierra están ahora presentes, el 99%, por una u otra razón se han extinguido. Sin embargo, ese pequeño tanto por ciento de la vida actual, supone unos cinco millones de especies según algunas estimaciones. La Tierra acoge a todas esas especies u palpita de vida que prolifera por doquier. Hay seres vivos por todas partes y por todos los rincones del inmenso mosaico de ambientes que constituye nuestro planeta encontramos formas de vida, cuyos diseños parecen hechos a propósito para adaptarse a su hábitat, desde las profundidades abisales de los océanos hasta las más altas cumbres, desde las espesas selvas tropicales a las planicies de hielo de los casquetes polares. Se ha estimado la edad de 3.800 millones de años desde que aparecieron los primeros “seres vivos” sobre el planeta (dato de los primeros microfósiles). Desde entonces no han dejado de aparecer más y más especies, de las que la mayoría se han ido extinguiendo. Desde el siglo XVIII en que Carlos Linneo propuso su Systema Naturae no han cesado los intentos por conocer la Biodiversidad…, de la que por cierto nuestra especie, bautizada como Homo sapiens por el propio Linneo, es una recién llegada de apenas 200.000 años.

Ahora, hablaremos de la vida media de las partículas elementales (algunas no tanto). Cuando hablamos del tiempo de vida de una partícula nos estamos refiriendo al tiempo de vida media, una partícula que no sea absolutamente estable tiene, en cada momento de su vida, la misma probabilidad de desintegrarse. Algunas partículas viven más que otras, pero la vida media es una característica de cada familia de partículas.
También podríamos utilizar el concepto de “semivida”. Si tenemos un gran número de partículas idénticas, la semivida es el tiempo que tardan en desintegrarse la mitad de ese grupo de partículas. La semivida es 0,693 veces la vida media.
Si miramos una tabla de las partículas más conocidas y familiares (fotón, electrón muón tau, la serie de neutrinos, los mesones con sus piones, kaones, etc., y, los Hadrones bariones como el protón, neutrón, lambda, sigma, psi y omega, en la que nos expliquen sus propiedades de masa, carga, espín, vida media (en segundos) y sus principales maneras de desintegración, veríamos como difieren las unas de las otras.

Algunas partículas tienen una vida media mucho más larga que otras. De hecho, la vida media difiere enormemente. Un neutrón por ejemplo, vive 10¹³ veces más que una partícula Sigma⁺, y ésta tiene una vida 10⁹ veces más larga que la partícula sigma cero. Pero si uno se da cuenta de que la escala de tiempo “natural” para una partícula elemental (que es el tiempo que tarda su estado mecánico-cuántico, o función de ondas, en evolucionar u oscilar) es aproximadamente 10ˉ²⁴ segundos, se puede decir con seguridad que todas las partículas son bastantes estables. En la jerga profesional de los físicos dicen que son “partículas estables”.
¿Cómo se determina la vida media de una partícula? Las partículas de vida larga, tales como el neutrón y el muón, tienen que ser capturadas, preferiblemente en grandes cantidades, y después se mide electrónicamente su desintegración. Las partículas comprendidas entre 10ˉ¹⁰ y 10ˉ⁸ segundos solían registrarse con una cámara de burbujas, pero actualmente se utiliza con más frecuencia la cámara de chispas. Una partícula que se mueve a través de una cámara de burbujas deja un rastro de pequeñas burbujas que puede ser fotografiado. La Cámara de chispas contiene varios grupos de de un gran número de alambres finos entrecruzados entre los que se aplica un alto voltaje. Una partícula cargada que pasa cerca de los cables produce una serie de descargas (chispas) que son registradas electrónicamente. La ventaja de esta técnica respecto a la cámara de burbujas es que la señal se puede enviar directamente a una computadora que la registra de manera muy exacta.

Una partícula eléctricamente neutra nunca deja una traza directamente, pero si sufre algún tipo de interacción que involucre partículas cargadas (bien porque colisionen con un átomo en el detector o porque se desintegren en otras partículas), entonces desde luego que pueden ser registradas. Además, realmente se coloca el aparato entre los polos de un fuerte imán. Esto hace que la trayectoria de las partículas se curve y de aquí se puede medir la velocidad de las partículas. Sin embargo, como la curva también depende de la masa de la partícula, es conveniente a veces medir también la velocidad de una forma diferente.

Una colisión entre un protón y un anti-protón registrada mediante una cámara de chispas del experimento UA5 del CERN.
En un experimento de altas energías, la mayoría de las partículas no se mueven mucho más despacio que la velocidad de la luz. Durante su corta vida pueden llegar a viajar algunos centímetros y a partir de la longitud media de sus trazas se puede calcular su vida. Aunque las vidas comprendidas entre 10ˉ¹³ y 10ˉ²⁰ segundos son muy difíciles de medir directamente, se pueden determinar indirectamente midiendo las fuerzas por las que las partículas se pueden transformar en otras.

Estas fuerzas son las responsables de la desintegración y, por lo tanto, conociéndolas se puede calcular la vida de las partículas, Así, con una pericia ilimitada los experimentadores han desarrollado todo un arsenal de técnicas para deducir hasta donde sea posible todas las propiedades de las partículas. En algunos de estos procedimientos ha sido extremadamente difícil alcanzar una precisión alta. Y, los datos y números que actualmente tenemos de cada una de las partículas conocidas, son los resultados acumulados durante muchísimos años de medidas experimentales y de esa manera, se puede presentar una información que, si se valorara en horas de trabajo y coste de los proyectos, alcanzaría un precio descomunal pero, esa era, la única manera de ir conociendo las propiedades de los pequeños componentes de la materia.
Que la mayoría de las partículas tenga una vida media de 10ˉ⁸ segundos significa que son ¡extremadamente estables! La función de onda interna oscila más de 10²² veces/segundo. Este es el “latido natural de su corazón” con el cual se compara su vida. Estas ondas cuánticas pueden oscilar 10ˉ⁸ x 10²², que es 1¹⁴ o 100.000.000.000.000 veces antes de desintegrarse de una u otra manera. Podemos decir con toda la seguridad que la interacción responsable de tal desintegración es extremadamente débil.
Se habla de ondas cuánticas y también, de ondas gravitacionales. Las primeras han sido localizadas y las segundas estaban siendo perseguidas desde hace algún tiempo con algunos proyectos como LIGO, hasta que, al fín, parece que las han encontrado.
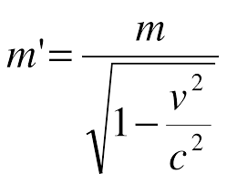
Aunque la vida de un neutrón sea mucho más larga (en promedio un cuarto de hora), su desintegración también se puede atribuir a la interacción débil. A propósito, algunos núcleos atómicos radiactivos también se desintegran por interacción débil, pero pueden necesitar millones e incluso miles de millones de años para ello. Esta amplia variación de vidas medias se puede explicar considerando la cantidad de energía que se libera en la desintegración. La energía se almacena en las masas de las partículas según la bien conocida fórmula de Einstein E = Mc².
Una desintegración sólo puede tener lugar si la masa total de todos los productos resultantes es menor que la masa de la partícula original. La diferencia entre ambas masas se invierte en energía de movimiento. Si la diferencia es grande, el proceso puede producirse muy rápidamente, pero a menudo la diferencia es tan pequeña que la desintegración puede durar minutos o incluso millones de años. Así, lo que determina la velocidad con la que las partículas se desintegran no es sólo la intensidad de la fuerza, sino también la cantidad de energía disponible.

Si no existiera la interacción débil, la mayoría de las partículas serían perfectamente estables. Sin embargo, la interacción por la que se desintegran las partículas π°, η y Σ° es la electromagnética. Se observará que estas partículas tienen una vida media mucho más corta, aparentemente, la interacción electromagnética es mucho más fuerte que la interacción débil.
Durante la década de 1950 y 1960 aparecieron tal enjambre de partículas que dio lugar a esa famosa anécdota de Fermi cuando dijo: “Si llego a adivinar esto me hubiera dedicado a la botánica.”

Si la vida de una partícula es tan corta como 10ˉ²³ segundos, el proceso de desintegración tiene un efecto en la energía necesaria para producir las partículas ante de que se desintegre. Para explicar esto, comparemos la partícula con un diapasón que vibra en un determinado modo. Si la “fuerza de fricción” que tiende a eliminar este modo de vibración es fuerte, ésta puede afectar a la forma en la que el diapasón oscila, porque la altura, o la frecuencia de oscilación, está peor definida. Para una partícula elemental, esta frecuencia corresponde a su energía. El diapasón resonará con menor precisión; se ensancha su curva de resonancia. Dado que para esas partículas extremadamente inestable se miden curvas parecidas, a medida se las denomina resonancias. Sus vidas medias se pueden deducir directamente de la forma de sus curvas de resonancia.

Bariones Delta. Un ejemplo típico de una resonancia es la delta (∆), de la cual hay cuatro especies ∆ˉ, ∆⁰, ∆⁺ y ∆⁺⁺(esta última tiene doble carga eléctrica). Las masas de las deltas son casi iguales 1.230 MeV. Se desintegran por la interacción fuerte en un protón o un neutrón y un pión.
Existen tanto resonancias mesónicas como bariónicas . Las resonancias deltas son bariónicas. Las resonancias deltas son bariónicas. (También están las resonancias mesónicas rho, P).

También se desintegran los mesones π. De qué modo las resonancias pueden captarse también en semejantes sistemas lo mostraremos en el ejemplo de la resonancia en el sistema mesón π — hiperón Λ0.
Las resonancias parecen ser solamente una especie de versión excitada de los Hadrones estable. Son réplicas que rotan más rápidamente de lo normal o que vibran de diferente manera. Análogamente a lo que sucede cuando golpeamos un gong, que emite sonido mientras pierde energía hasta que finalmente cesa de vibrar, una resonancia termina su existencia emitiendo piones, según se transforma en una forma más estable de materia.
Por ejemplo, la desintegración de una resonancia ∆ (delta) que se desintegra por una interacción fuerte en un protón o neutrón y un pión, por ejemplo:
∆⁺⁺→р + π⁺; ∆⁰→р + πˉ; o п+π⁰
![]()
En la desintegración de un neutrón, el exceso de energía-masa es sólo 0,7 MeV, que se puede invertir en poner en movimiento un protón, un electrón y un neutrino. Un Núcleo radiactivo generalmente tiene mucha menos energía a su disposición.
El estudio de los componentes de la materia tiene una larga historia en su haber, y, muchos son los logros conseguidos y muchos más los que nos quedan por conseguir, ya que, nuestros conocimientos de la masa y de la energía (aunque nos parezca lo contrario), son aún bastante limitados, nos queda mucho por descubrir antes de que podamos decir que dominamos la materia y sabemos de todos sus componentes. Antes de que eso llegue, tendremos que conocer, en profundidad, el verdadero origen de la Luz que esconde muchos secretos que tendremos que desvelar.

Los científicos del CERN, el mayor laboratorio de física de partículas del mundo, anunciaron hace algún tiempo ya que, en uno de sus experimentos están presentes los indicios del descubrimiento de una nueva partícula jamás observada hasta el momento, llamada pentaquark. Esta nueva partícula tiene la peculiaridad de que está compuesta por cinco quarks a diferencia de las partículas de materia ordinaria como protones y neutrones que están compuestas tan sólo por tres.
Esperemos que con los futuros experimentos del LHC y de los grandes Aceleradores de partículas del futuro, se nos aclaren algo las cosas y podamos avanzar en el perfeccionamiento del Modelo Estándar de la Física de Partículas que, como todos sabemos es un Modelo incompleto que no contiene a todas las fuerzas de la Naturaleza y, cerca de una veintena de sus parámetros son aleatorios y no han sido explicados.(Bueno, ahora son 19 después del descubrimiento del Bosón de Higgs).
Sin embargo, a mí particularmente me quedan muchas dudas al respecto.
Emilio Silvera V.
Mar
25
¿Qué estamos haciendo? ¿Qué intereses están detrás?
por Emilio Silvera ~
Clasificado en General ~
Comments (0)
Sobre las dichosas líneas que dejan los aviones en el cielo.
Llevo años esperando a que alguien de la Organización de las Naciones Unidas, la Agencia Espacial Europea o, bueno, quizá los Illuminati, contacten conmigo para ofrecerme un pellizco económico a cambio de encubrir esos aviones que, según dicen algunos, se dedican a deshacer las nubes. Esta historia yo la conozco de toda la vida pero ha ido degradándose cada vez más, pasando de las avionetas que rocían yoduro de plata sobre las tormentas, una práctica que, al menos, tiene una explicación científica al ser un compuesto que puede llegar a favorecer la proliferación de las gotitas y su desprendimiento –aunque nunca se ha demostrado que tenga resultados satisfactorios–, a una macrorredada de aviones silenciosos que vagan por nuestros cielos impidiendo la lluvia tirando «no sé qué» en días de cielos blanquecinos.

“Llevo años esperando a que alguien de la Organización de las Naciones Unidas, la Agencia Espacial Europea o, bueno, quizá los Illuminati, contacten conmigo para ofrecerme un pellizco económico a cambio de encubrir esos aviones que, según dicen algunos, se dedican a deshacer las nubes. Esta historia yo la conozco de toda la vida pero ha ido degradándose cada vez más, pasando de las avionetas que rocían yoduro de plata sobre las tormentas, una práctica que, al menos, tiene una explicación científica al ser un compuesto que puede llegar a favorecer la proliferación de las gotitas y su desprendimiento –aunque nunca se ha demostrado que tenga resultados satisfactorios–, a una macrorredada de aviones silenciosos que vagan por nuestros cielos impidiendo la lluvia tirando «no sé qué» en días de cielos blanquecinos. “
![]()
¿Qué puñetas están persiguiendo? Dejarnos sin agua, que no llueva….
Los que defienden la existencia de esta última práctica se apoyan en las estelas de condensación que dejan las aeronaves a una determinada altura, con temperatura, humedad y presión suficientes. Los motores de los aviones emiten vapor de agua que se condensa cuando esas tres variables interactúan de forma eficiente. Hay veces que esas líneas perduran poco en el tiempo, eso ocurre cuando la humedad es escasa; en otras ocasiones aguantan bastante más pero no se extienden, aprovechando un vapor de agua ya sí más abundante; y hay una última variedad con estelas duraderas y que, además, van engordando conforme pasa el tiempo gracias a un entorno muy proclive a su existencia, por la humedad, el nivel de condensación y la inestabilidad. Esta es la parte científica del asunto. Hay otra conspiranoica.
Portugal no ha consentido que en “su cielo” se eche esta química
El nombrado colectivo ve en esas emisiones más que vapor de agua y otros gases contaminantes, que también están, pero nada tienen que ver con la destrucción de nubes. Afirman que hay otros productos químicos en las estelas con el objetivo de quitarnos la lluvia o incluso, por qué no, envenenarnos. También lo dicen. Pero esto último al parecer lo están haciendo desde muy lejos, a varios miles de metros de altitud, para que la inversión sea un auténtico despropósito a la altura de las teorías de quienes creen en ello. No se han fijado que cuando aparecen esas líneas en el cielo suele haber cirros, nubes altas conformadas por pequeños cristalitos de hielo que de forma natural aparecen, precisamente, aprovechando los actores que sustentan las estelas. Obviamente tampoco han consultado las previsiones, porque cuando esas nubes están en el cielo difícilmente acaba lloviendo en el corto plazo; es decir, que no evitan la lluvia porque es casi imposible que comparezca. Y por último, se equivocan con nosotros, los comunicadores dedicados a la meteorología, porque si algo amamos es que llueva y, si tuvieran razón, ondearíamos esa bandera con más determinación que nadie.
Hasta aquí nota de Prensa.
El Fobierno destruye embalases y no limpia los cauces de los ríos y los arroyos, lo que provoca sucesos como los de Valencia. Y, no digamos, lo bien que está haciendo el mantenimiento de las carreteraas y de las vías ferroviarias. Pero eso sí, hay dinero para dar a Marruecos y otros lugares del mundo sin que se justifique el por qué. No se lo que pueda haber detrás de estos comportamientos pero, una cosa es segura, los ciudadanos estamos pagando esos comportamientos delictivos.
¿Seguiremos mucho tiempo soportando tanta desverguenza?
El Gobierno destruye embalses que tan necesarios son
Inmensas obras que se llevaron a cabo para garantizar el agua a los agricultores y a la población, cuando la escacez de lluvia llegara, están siendo destruidos sin más. No dan explicaciones y, detrás de todo esto hay intereses bastardos.

Este Gobierno nuestro nos quiere llevar a la ruina, ya tiene andado mucho camino, Poco a poco va eliminado derechos del ciudadano que parece estar dormido (nadie protesta ni se levanta en masa contra todos estos crímenes a los Derechos).
Un día nos quitan la Seguridad Jurídica que debe garantizar todo Estado de Derecho.
Otro día se hace con los poderes Judiciales más altos para garantizarse que sus deleznables decisiones no sean eliminadas.
Otras veces, pactan con partidos que no deberían existir al tener en sus filas a gente que defienden el asesinato.
Y, el día que se levantan con el pie izquierdo, modifican la Ley General Tributaria para eliminar Derechos del Ciudadano y otorgar más poder a la máquina Tributaria. De forma tal que, las Empresas, Sociedades y personas físicas, cada vez quedan más desamparadas y a merced de un Sistema Injusto y Confiscatorio que, en lugar de ayudar a los emprendedores los hunde.
Podríamos seguir pero, necesitaríamos muchos artículos, conferencias, entrevistas…, para explicar la cantidad de barbaridades que están cometiendo estos que dicen trabajar para el Pueblo, cuando el único trabajo que hacen es el de dilapidar el dinero que no sabemos como podremos pagar, viajar en grandes aviones (para eso no importa que contaminen), y gastas a manos llenas (no en cosas positivas), no, sino en mantener a la clientela y poner el bozal a la Prensa y los medios de comunicación para que no hablen mal de ellos y no cuenten la realidad.
¿Hasta cuando soportaremos todo esto sin poner los medios para terminar con mtodos estos abusos e injuisticias?
Emilio silvera V.
Mar
25
Lo único cierto es… ¡Qué no lo sabemos todo!
por Emilio Silvera ~
Clasificado en General ~
Comments (0)
La comunidad científica en general acepta el modelo del Big Bang porque es el que mejor explica las observaciones actuales (la expansión del universo, la radiación cósmica de fondo y la abundancia de elementos ligeros). Sin embargo, el Big Bang no se considera el “inicio absoluto de todo”, sino más bien el inicio de la expansión de la materia y el espacio tal como los conocemos a partir de un estado de altísima densidad y temperatura.
- La singularidad no es un inicio físico: La teoría matemática del Big Bang nos lleva a una “singularidad”, un punto de densidad infinita. Sin embargo, la mayoría de los físicos consideran que esto indica que la teoría se rompe y necesitamos una teoría más completa (gravedad cuántica) para entender qué pasó realmente.
- ¿Qué hubo antes? La teoría del Big Bang no explica qué causó el inicio o qué existía antes de ese momento.
- Alternativas científicas: Existen modelos teóricos que proponen alternativas donde el Big Bang no es el inicio:
- El Gran Rebote (Big Bounce): Propone que el universo pasa por ciclos infinitos de expansión y contracción; el Big Bang sería solo el rebote de un universo anterior.
- Cosmología Cíclica Conforme (CCC): Sugiere que nuestro universo es un “eón” en una serie infinita de eones.
- Colapso de agujero negro: Algunas teorías sugieren que nuestro universo surgió del colapso gravitacional de un agujero negro en otro universo superior.
Mar
24
¿Filosofía? ¡Buscando la verdad del mundo!
por Emilio Silvera ~
Clasificado en Rumores del Saber ~
Comments (0)
Conjeturar… ¡Tratando de saber!

En todos los campos del saber Humano hemos realizado grandes avances. Conocemos las fuerzas que rigen el Universo, hemos llegado hasta las entrañas de la materia, queremos conocer lo que son las fluctuaciones del “vacío” y lo que allí existe…
Desde
siempre hemos querido saber y, algunos dicen que la curiosidad nos permitió llegar hasta aquí pero, que también acabará con nosotros , dado que pretendemos saber más de lo que nos está permitido, y, en ese punto, tengo que diferir, toda vez que, para saber, no se pueden poner límites.
Mi curiosidad me lleva a indagar y profundizar por los hechos del pasado para tratar de comprender como pudimos llegar hasta aquí. Nada aparece de manera espontanea y todo, según nos dice la física, tiene una causa. Es decir, lo que pasa hoy es fruto de lo que ayer pasó y, nuestro futuro, estará cargado de nuestro presente. Siempre ha sido así y lo seguirá siendo. Los humanos somos curiosos por naturaleza y siempre estamos, desde
pequeños, con el ¿por qué? y el ¿cómo? ¡Queremos saber!
Las preguntas están garantizadas pero, ¡las respuestas NO! Siempre tendremos la curiosidad con nosotros, ¡menos
mal!
Como aquí tratamos mucho sobre física, con frecuencia busco antecedentes del pasado remoto que me lleven a comprender cómo, de forma paulatina, hemos avanzado en esta disciplina y qué pensamientos primeros desencadenaron esa aventura. Desde
luego, en lo que he podido constatar, han sido los hindúes los que más se acercaron a las modernas ideas del átomo, la física cuántica y otras teorías actuales. Posiblemente el pensamiento atomista griego recibió influencias de la India a través de las civilizaciones persas. Sin embargo, los hindúes carecían de la sofisticación experimental de los antiguos chinos, los árabes medievales o los europeos a partir de la ilustración.

El Rig-Veda, que data de alguna fecha situada entre
el año 2000 y 1500 a. C., es el primer texto hindú en el cual se exponen unas ideas que pueden considerarse leyes naturales universales. La ley cósmica está relacionada con la luz cósmica, con los dioses y, posteriormente, de manera específica con Brahman.
En la India siempre se tuvo una predisposición especial para
los pensamientos profundos
Hacia
la época de Buda (500 a C.), los Upanishad, escritos durante un período de varios siglos, mencionaban el concepto de svabhava, definido como “la naturaleza inherente a los distintos objetos materiales”; es decir, su eficacia causal única, tal como la combustión en el caso del fuego, o el hecho de fluir hacia
abajo en el caso del agua. El pensador jaini Bunaratna dice: “Todo lo que existe ha llegado a existir por acción de los svabhava. Así… la tierra se transforma en una vasija y no en paño… A partir de los hilos se produce el paño y no la vasija”.


Hechos fortuitos, sucesos inesperados, colisiones y extenciones inesperadas, pueden cambiar…¡tantas cosas! Nosotros, como observadores pensantes, hemos estado
ahí desde siempre para hacer preguntas y tratar de poderlas contestar y, a veces, profundos pensamientos de sabios del pasado, sin otra ayuda técnica que la de su visión mental, pudieran llegar a conclusiones que hoy, nos parecen asombrosas.
En cambio el concepto de yadrcha, o Azar, ha existido también desde
tiempos muy remotos, aunque no consiguió una aceptación amplia. El yadrcha implicaba la falta de orden y la aleatoriedad de la causalidad. Ambos conceptos se sumaron a la afirmación del griego Demócrito, formulado medio siglo más tarde: “Todo lo que hay en el universo es fruto del Azar y la necesidad”.
El ejemplo que dio Demócrito -similiar al de los hilos de paño- fue la amapola. El que la semilla de la amapola eche raíces o se muera es una cuestión de azar, depende de si va a parar a terreno fértil o cae en unas piedras y roca yerma. Sin embargo, que crezca hasta
convertirse en una amapola y no en un olivo es cuestión de causalidad. Aristóteles y otros griegos antiguos rechazaron la importancia del azar, o yadrcha. Claro que, ¿quién no se ha equivocado alguna vez? Infalible…nadie es.

Los diccionarios nos dice: “El Katha upanishad es un libro sagrado del hinduismo. Es el tercero de los 108 Upanishads del canon Muktika, la colección de meditaciones místico filosóficas del hinduismo. Forma
parte del Iáyur vedá negro. Consta de seis partes (o dos capítulos con tres secciones cada uno). Tiene varios pasajes en común con el Bhagavad guitá pero mientras que el Bhagavad Gita se compone de una conversación entre Krishna y Arjuna, el Katha Upanishad es una conversación entre Yama y Nachiketas.
Fue primeramente traducido al idioma persa,y así entro en circulación en Europa. Edwin Arnold le dio lo nombró “El secreto de la Muerte”
El Katha upanishad (también llamado Kaṭhopaniṣad, o Kāṭhaka) tiene como fin enseñar cómo ser un sabio. Sus consejos principales pueden resumirse en los siguientes puntos:
- El verdadero Sí mismo (el atman o alma) es la fuente de todo gozo, reflejado apenas en los placeres terrenales: es el cumplimiento de todos los deseos, sólo al alcance de los puros, que controlan los sentidos y mantienen en calma su mente.
- El sabio busca lo permanente, y no sufre porque sabe que su Sí no cambia.
- Lo bueno y lo placentero son distintos objetivos. Se equivoca el que elige lo placentero (los ignorantes).
- Los ritos no sirven para obtener lo imperecedero, el Supremo, cuyo nombre
es Om. - Los sentidos ven lo externo (no el atman). La reencarnación es para el que no puede verlo.
- No hay diferencia entre el creador y lo creado.
- El estado
supremo (separarse del mundo) se consigue aquietando los cinco sentidos, la mente y el intelecto, es decir, mediante el yoga (unión del alma infinitesimal con el alma infinita).”
Las galaxias, el átomo y el mundo… ideas extrañas que fueron desarrolladas a partir de pensamientos perdidos en el horizonte de los tiempos. Más tarde, pueblos civilizados utilizaron aquellas ideas filosóficas y seminales y la transportaron hacia el mundo material en el que, mucho más tarde, sirvieron para
: La descripción matemática de la Naturaleza, para tener una noción de la sustancia fundamental -la materia de la que todo está hecho-, y, poder adquirir la noción de cambio, de evolución, llegar a saber que nada permanerce.

El argumento que se dio tradicionalmente en Occidente señalaba que Demócrito escribió sobre física, mientras que lo que los Upanishad describían era metafísica, aunque las palabras fueran similares: “Los Upanishad se refieren a un cosmos imaginario simbólico. Demócrito hablaba sobre cómo son las cosas en realidad o (más bien) como
podían ser. Claro que, ninguno de ellos (ni los antiguos Hindúes ni Demócrito) dedujeron sus teorías a partir de experimentos, motivo por el cual, deben ser consideradas ambas, más filosóficas que científicas y, sin embargo, también deben ser consideradas como precursoras de lo que después sería la realidad física, con lo cual, llegamos al hecho cierto de que, lo imaginario y lo real, llegados a un punto, siempre pueden convergir en una realidad buscada primero por las ideas y, más tarde, por la experimentación.
No hace
mucho tiempo, en estas mismas páginas os contaba:
“Claro que, si no fuera tan largo de contar, os diría que, en realidad, el Campo de Higgs se descubrió hace ya muchos siglos en la antigua India, con el nombre
de maya, que sugiere la idea de un velo de ilusión para dar peso a los objetos del mundo material. Pocos conocen que, los hindúes fueron los que más se acercaron a las ideas modernas sobre el átomo, la física cuántica y otras teorías actuales.
Ellos desarrollaron muy temprano sólidas teorías atomistas sobre la materia. Posiblemente, el pensamiento atomista griega recibió las influencias del pensamiento de los hindúes a través de las civilizaciones persas. El Rig-Veda, que data de alguna fecha situada entre el 2000 y el 1500 a. C., es el primer texto hindú en el que se exponen unas ideas que pueden considerarse leyes naturales universales. La ley cósmica está relacionada con la luz cósmica.”
Anteriores a los primeros Upanishads tenemos en la India la creación de los Vedas, visiones poéticas y espirituales en las que la imaginación humana ve la Naturaleza y la expresa en creación poética, y después va avanzando hacia
unidades más intensamente reales que espirituales hasta llegar al Brahmán único de los Upanishads y, es ahí, donde realmente entraron en el mundo material de la naturaleza de las cosas que comenzaron a mirar desde
la perspectiva lógica-filosófica que, de alguna manera, dejaba atrás a la más incomprensible y profunda metafísica que es más, cosa del espíritu que de lo que podemosm tocar, la materia.
El Sanscrito, el lenguaje más antiguo de la literatura india, tendría el mismo origen que el latín y el griego. Hasta el siglo XVIII se creía que el sánscrito era el proto-lenguaje de Europa. decíamos que en su ámbito de uso, todas las lenguas tienen su propia tradición literaria repleta de leyendas. La Antigua Indua fue famosa por su rica narrativa, la cual fue registrada por escrito mucho más tarde, al igual que ocurrió en el resto del mundo. Textos antiguos como el Rig Veda, una colección de himnos datada hacia 1200 a. C. Otras escrituras védicas tratan de temas religiosos y filosóficos. Hoy en día, las más conocidas son las enseñanzas filosóficas de Upanishads. Las dos Epopeyas más importantes de la literatura en Sánscrito antiguo son el Mahabharata y el Ramayana.
El Mahábharata está considerado como el poema épico más largo de la historia y suele traducirse por “La gran historia del pueblo de India” Aunque es arriesgado resumir el tema central de este texto debido a su extensión y complejidad, se basa en la lucha entre
dos ramas de una misma familia noble, los panduidas y los kuruidas, por la posesión de un reino del norte de la India, el Kurukshetra. Con ese hilo conductor, se narran multitud de historias paralelas, historias de guerra y lucha entre el bien y el mal, de confrontación por la tierra, de amor, traición y venganza, de sabios, dioses y demonios. Historias algunas de una fantasía bellísima y sorprendente, cómo sólo la creatividad india puede concebir. El Mahabharata se escribió alrededor del año 300 a.C. y fue objeto de numerosas variaciones en torno al año 300 d.C. estableciéndose en 18 libros que contienen en total unos 200.000 versos con breves pasajes en prosa intercalados.
El Ramayana cuenta
las aventuras de Rama, uno de las encarnaciones de Vishnu (el protector). Está escrito en sánscrito, en casi 50.000 versos y su redacción se atribuye al sabio hindú Valmiki alrededor de la misma época que el Mahábharata fue escrito. Su argumento y sus múltiples historias y aventuras secundarias han servido de inspiración literaria a lo largo de los siglos. Es una de las grandes obras populares en India y es frecuente encontrar celebraciones y obras teatrales que lo representan total o parcialmente, así como a personas que recitan fragmentos de memoria, aunque sean analfabetos.
Siendo una de las más importantes obras literarias de India antigua tiene un profundo impacto en el arte y la cultura del subcontinente indio y del sureste de Asia. La historia de Rama también inspiró numerosas obras literarias modernas en diversos lenguajes, entre
los cuales se pueden resaltar los trabajos del poeta hindú Tulsidas (siglo XVI), y el poeta tamil Kambar (siglo XIII).
Grabado que representa a Confucio
En realidad, la literatura conquistó el mundo. Los relatos épicos indios constituyen un ejemplo de la rica tradición literaria de los tiempos antiguos. En China Confucio inició el primer canon literario con los cinco clásicos. En realidad, su nombre
chino K´ung-fu-tzu, que se puede traducir, aproximadamente, como “Maestro Kong”, fue degenerado al latin por misioneros jesuitas que estuvieron en China.

En la India el pensamiento se hará profundo, los sentimientos se afinarán. En Grecia las pasiones y las ideas se cubrirán con el prestigio del arte y el vestido mágico de la belleza. Pero
ninguna poesía sobrepuja a ciertos himnos védicos en elevación moral, en alteza y amplitud intelectual. Hay allí el sentimiento de lo divino en la Naturaleza, de lo invisible que la rodea y de la grande unidad que penetra el todo. ¿Cómo nació civilización semejante?. ¿Cómo se desarrolló tan alta intelectualidad en medio de guerras de raza y de la lucha contra la Naturaleza?. Aquí se detienen las investigaciones y las conjeturas de la ciencia contemporánea.
En efecto, el libro sagrado de los Persas, el Zend-Avesta, habla de un antiguo legislador bajo el nombre
de Yima, y Zoroastro, al fundar una religión nueva, apela a ese predecesor como al primer hombre a quien habló Ormuzd, el Dios vivo, como Jesucristo apeló a Moisés. — El poeta persa Firdousi llama a ese mismo legislador Djem, el conquistador de los Negros —. En la epopeya india, en el Rámáyana, él aparece con el nombre de Rama, vestido de rey indio, rodeado de los esplendores de una civilización avanzada; pero conserva sus dos caracteres distintos de conquistador, renovador e iniciado.
El templo de la diosa Demeter, en Eleusis, sede de los misterios
En las tradiciones egipcias la época de Rama es designada por el reino de Osiris, el señor de la luz, que precede al reino de Isis, la reina de los misterios —. En Grecia, en fin, el antiguo héroe semidiós era honrado bajo el nombre
de Dionisos, que viene del sánscrito Deva Nahousha, el divino renovador. Orfeo dio ese nombre a la Inteligencia divina y el poeta Nonnus cantó la conquista de la India por Dionisos, según se contiene en las tradiciones de Eleusis.
Como los radios de un mismo círculo, todas esas tradiciones designan un centro común. Siguiendo su dirección, se puede llegar a él. Entonces por encima de los Vedas, sobre el Irán de Zoroastro, en el alba crepuscular de la raza blanca se ve salir de los bosques de la antigua Escitia al primer creador de la religión aria, ceñido con su doble tiara de conquistador y de iniciado, llevando en su mano el fuego místico, el fuego sagrado que iluminará a todas las razas. A Fabre d’Olivet pertenece el honor de haber encontrado ese personaje y de trazar la vía luminosa que a él conduce.


Otras maneras del ver el mundo
Como siempre me pasa, me desvío del tema principal, estoy escribiendo sobre algo concreto y me llega un recuerdo que me distrae y lo quiero poner en el papel, lo cierto es que, hablamos de los hindúes que explicaron el universo en términos de átomos, las unidades de materia más pequeñas que no es posible crear ni destruir. Tres sistemas filosóficos fundamentales son importantes en el atomismo hindú:
La escuela Niyaya-Vaisesika, el jainimso y el budismo. Aunque el atomismo hindú (desarrollado alrededor del año 600 a. C.) parece haber evolucionado más o menos en la misma época que el atomismo griego (aproximadamente 430 a. C.), se mantuvo como un concepto aceptado a lo largo de toda la Edad Media. Es una cuestión discutida si la cultura hindú influyó en la griega, o si ambas, se desarrollaron independientemente. Todos los indicios nos llevan a pensar que fueron los hindúes los primeros que hablaron del átomo y que, más tarde, a través de otras culturas, fue Demócrito el que cogió las antorcha de la idea para
expandir su luz.
Como siempre pasa en estos casos en los que, con poco espacio se quieren decir muchas cosas, nos quedamos cortos y deseosos de continuar
, contando hechos del pasado que nos trajeron a este presente en el que, conceptos como el átomo, la materia, el azar, la causalidad, etc., resultan estar más claros en nuestras mentes pero, no debemos olvidar que, su es así (que lo es), gran parte de estos conocimientos nos llegaron desde allí, del tiempo remoto, de mentes mucho tiempo desaparecidas que, sin embargo, nos dejaron sus ideas que perviven.
Muchas veces, como el balbuceo de un niño, hablamos de cosas que no entendemos, es simplemente una maraña de ideas que nos ronda por la cabeza y nosotros, osados como siempre, decimos lo que se nos ocurre sobre ellas, y lo sorprendente es que a veces hasta acertamos.
Lo actual, y pese a las críticas que ha recibido esta
disciplina a lo largo del pasado siglo, la metafísica no ha desaparecido de la investigación filosófica que denuncia, precisamente, el “olvido del ser” que, a favor
del “ente”, había caracterizado a la metafísica tradicional.
El proyecto siempre está abierto y también inconcluso, y sitúa al SER humano en el centro de la reflexión metafísica.
Emilio Silvera V.
Mar
24
¿Una guía para descubrir? ¡La simetría!
por Emilio Silvera ~
Clasificado en Simetrías ~
Comments (0)
La simetría esférica del planeta Marte vista por el Hubble
Esta figura se puede dividir de una forma, verticalmente. Si la intentamos dividir horizontalmente, los dos lados no coincidirían. Dividida de esta forma, la mitad superior no coincide con la mitad inferior. Por lo tanto, podemos decir que la mariposa tiene simetría bilateral .
La simetría es una propiedad universal tanto en la vida corriente, desde
un punto de vista matemático como desde el quehacer de la Física Teórica. En realidad, lo que observamos en la vida corriente es siempre lo repetitivo, lo simétrico, lo que se puede relacionar entre sí por tener algo común.
La Naturaleza está llena de simetrías
En un sentido dinámico, la simetría podemos entenderla como lo que se repite, lo reiterativo, lo que tiende a ser igual. Es decir, los objetos que, por mantener la misma geometría, son representativos de otros objetos. En el Caos matemático encontramos esta
concepción de la simetría en el mundo los fractales. Sin embargo, la simetría es mucho más.
Cuando miro en mi diccionario de Física la palabra Simetría, lo que me dice es:
“Conjunto de invariancias de un sistema. Al aplicar una transformación de simetría sobre un sistema, el sistema queda inalterado, la simetría es estudiada matemáticamente usando teoría de grupos. Algunas de las simetrías son directamente físicas. Algunos ejemplos son las reflexiones y las rotaciones en las moléculas y las translaciones en las redes cristalinas. Las simetrías pueden ser discretas (es decir, cuando hay un número
finito de transformaciones de simetría), como el conjunto de rotaciones de una molécula octaédrica, o continuas (es decir, cuando no hay número finito), como el conjunto de rotaciones de un átomo o núcleo. Existen simetrías más generales y abstractas, como la invariancia CTP y las simetrías asociadas a las teorías gauge.”
Estas moléculas esféricas de carbono, conocidas como buckybolas, se agitan, como si estuvieran hechas de gelatina. Las buckybolas son moléculas con forma de balón de fútbol…

El Universo está lleno de simetrías por todas partes
También podemos hablar de simetría rota y de supersimetrías. Durante los últimos tiempos, los Físicos han elevado los principios de simetría al más alto nivel en la escala de lo que podemos entender por una explicación. Cuando encontramos una Ley propuesta de la Naturaleza, una pregunta se nos viene a la mente: ¿Por qué esta
ley? ¿Por qué la relatividad especial y la general? ¿Por qué el electromagnetismo de Maxwell? ¿Por qué las teorías de Yang-Mills de las fuerzas nucleares fuerte y débil? Claro que, una respuesta de importancia es que, las teorías hacen predicciones que han sido repetidamente conformadas con precisos experimentos, con diversidad de científicos y lugares y que, siempre, en todos los casos, dieron el mismo resultado. Esto, por supuesto, es la base de la confianza esencial que los físicos tienen en esas teorías.
En todos estos fantásticos lugares rigen las mismas leyes
Claro que, se deja fuera algo esencial: Los físicos creen también que están en el camino correcto porque, de algún modo que no pueden explicar, tienen la convicción de que son correctas, y las ideas de simetría son esenciales para esa intuición. Se presiente que es correcto que ningún lugar del Universo es especial comparado con cualquier otro lugar del Universo, así que los físicos tienen la confianza de que la simetría de traslación debería estar entre
las simetrías de las leyes de la Naturaleza. Se presiente que es correcto que ningún movimiento a velocidad constante es especial comparado con cualquier otro. De modo que los físicos tienen confianza en que la relatividad especial, al abrazar plenamente la simetría entre
todos los observadores con velocidad constante, es una parte esencial de las leyes de la Naturaleza.
Los hongos atómicos también
guardan cierta simetría
Así que las simetrías de la Naturaleza no son meras consecuencias de las leyes de la Naturaleza. Desde nuestra perspectiva moderna, las simetrías son la base de la que manan las leyes y, siendo así (que lo es), cuando un físico observa una simetría, agudiza su atención, ya que, allí, en aquel lugar, podría encontrarse alguna ley de la Naturaleza que siguiendo aquella presencia, se podría descubrir
.
Más allá de su papel en dar forma a las leyes que gobiernan las fuerzas de la Naturaleza, las ideas de simetría son vitales para el propio concepto del tiempo. Nadie ha sabido encontrar todavía definición fundamental y definitiva del tiempo. Sin embargo, es indudable que el papel del tiempo en la constitución del cosmos es llevar una especie de registro
de los sucesos y acontecimientos que en el universo ocureren: Nace una estrella, se forma una nueva galaxia, explota una supernova, muere una estrella masiva y surge un agujero negro…

Sí, todos fuimos jóvenes y el paso del tiempo nos transformó en más viejos pero
, no por ello más sabios. Eso sí, con algo más de experiencia y más prudentes a la hora de decidir sobre las cosas importantes que siempre, aunque de joven no le prestemos atención, traen consecuencias.
Sí, todo cambia y nada permanece con el inexorable paso del Tiempo
Reconocemos el transcurrir del tiempo al mirar y ver que, las cosas, no son iguales hoy que lo fueron ayer. Con el transcurrir del tiempo todo cambia y nada permanece. ¿Será el tiempo otra simetría? Debe serlo, ya que, ningún cambio le afecta y, su transcurrir queda inalterado por mucho camino que pudiera haber recorrido y, eso, lo hace
diferente de todo lo demás: Todo cambia excepto el tiempo.
Así, tenemos que llegar a la conclusión de que, el concepto de simetría es, para los Físicos, indispensable como punto de referencia en el descubrimiento de las teorías que más tarde, llegan a convertirse en leyes de la Naturaleza al comprobarse que, son inalterables: Otra vez la Simetría. El desarrollo de la moderna teoría cosmológica, por ejemplo, tiene mucho que ver con la simetría. El significado del Tiempo, su aplicabilidad al universo en su conjunto, la forma
global del espacio, e incluso el marco subyacente de la relatividad especial, todo descansa sobre fundamentos de simetría.
Hay simetría en la muy grande y, también, en lo muy pequeño
Durante el último siglo un concepto muy importante en Física, sobre todo en Mecánica Cuántica, ha sido y es el de simetría. Uno de los resultados más bonitos de la Física dice que allá donde hay una simetría hay una cantidad conservada.
El teorema de Noether se expresa en primer orden como:

“Teorema (Noether). A toda transformación continua de las coordenadas o/y los campos que deje invariante la acción en un volumen cuadridimensional le corresponde una corriente conservada jμ en la evolución que cumple Dμjμ=0.”
Es lo que se llama teorema de Noether. De este modo, las leyes de la Física pueden ser iguales bajo una u otra simetría y para
cada uno de esos casos se conservará algo. Así por ejemplo, la simetría de traslación temporal corresponde a una cantidad conservada: la energía. También ocurre que las leyes de la física son las mismas bajo unas transformaciones de rotación en el espacio tridimensional y eso significa que se conserva el momento angular.
Allí donde veamos presente la simetría, debemos prestar atención, ya que, podría ser el indicio de que algo importante se podría derivar de esa simetría presente que, en física, como
hemos comentado, es un principio de gran importancia.
, nos viene a decir que, en un universo que gira sobre sí mismo, es lógico que pensemos que todo lo que contiene, se comporte de la misma manera.


















Totales: 87.811.951
Conectados: 55

































