Abr
30
Lo que llaan Gravedad, es el Esapacio Curvado en preencia de Masa
por Emilio Silvera ~
Clasificado en General ~
Comments (0)
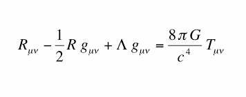
Esta asombrosa ecuación, es la prueba mácima del ingenio humano que, un reducido conjunto de símbolos, letras y números, nos explica uno de los secretos más profundos del Universo, lo que llasmamos Gravedad, la Geometría del Espacio-Tiempo en preencia de Masa. El conjunto de ecuaciones de campo de la Relatividad General, es el mérito de Mentes provilegiadas que Einstein supo unificar para decirnos como la materia ordena al Espacio que se curve.
“Hace más de 100 años que en su Relatividad General, Einstein incluyó el versátil concepto de espaciotiempo con cuatro dimensiones. Para introducir en él la geometría diferencial se parte del concepto de distancia. Tomemos un evento arbitrario xμ que denotaremos mediante sus cuatro coordenadas xμ=(x1,x2,x3,x4 ). Empleamos aquí la notación x1,x2, etc., en lugar de las coordenadas cartesianas, para enfatizar el hecho de que se trata de coordenadas de sistemas no inerciales, en general. Consideremos un segundo evento con coordenadas xμ+dxμ, donde xμ<<dxμ, es decir, el segundo evento se encuentra muy cerca del primero. En la Figura 1 se ilustra esta situación, donde el espaciotiempo está representado esquemáticamente como una superficie curva bidimensional.”

La constante de proporcionalidad
contiene la velocidad de la luz en el vacío c y la constante gravitacional de Newton G, de forma tal que nos permite relacionar la magnitud geométrica curvatura con magnitudes físicas como la energía, presión, etc. Esta equivalencia entre magnitudes geométricas fue propuesta por primera vez por Einstein para el campo gravitacional, pero hoy en día sabemos que es válida para todos los demás campos conocidos en la naturaleza.
La Teoría de la Relatividad Genneral de Albert Einstein de 1915, fue una extensión a la Teoría de la Gravedad de Newton, una revolución y un avance enorme en la manera que teníamos de observar el universo, de entender la manera en la que se comporta el Cosmos en relación a un Espacio que se ve obligado a cambiar su geometría plana por la curva en presencia de grandes masas. Cambió el paradigma de un universo estático y mecánico a uno dinámico y maleable.

- La Gravedad como Curvatura (Adiós a la fuerza a distancia): Antes de Einstein, la gravedad se entendía según Newton como una fuerza invisible que actuaba a distancia. Einstein demostró que la masa y la energía deforman el tejido del espacio-tiempo, creando una “curvatura”. Los planetas y objetos no son “tirados”, sino que siguen la curvatura del espacio.
- Espacio-tiempo unido: Einstein demostró que el espacio y el tiempo no son entidades separadas y fijas, sino un continuo cuatridimensional interconectado llamado espacio-tiempo.
- Un universo en evolución (El Big Bang): La relatividad general permitió a los científicos entender que el universo no es estático, sino que puede expandirse o contraerse, sentando las bases teóricas para la teoría del Big Bang.
- Confirmación de fenómenos extremos: La teoría predijo con éxito fenómenos que antes parecían ciencia ficción, como:
- Agujeros negros: Regiones donde la curvatura del espacio es tan intensa que ni la luz escapa.
- Lentes gravitacionales: La luz de estrellas lejanas se desvía al pasar cerca de cuerpos masivos.
- Ondas gravitacionales: Ondas en el tejido del espacio-tiempo provocadas por eventos cósmicos violentos.
- Impacto Tecnológico (GPS): La teoría no solo es teórica; es esencial para tecnologías modernas. La precisión de los sistemas GPS depende de ajustar el tiempo según la relatividad general, ya que el tiempo corre más lento cerca de objetos masivos (como la Tierra).
Emilio Silbvera V.
















Totales: 87.870.613
Conectados: 37






















